网站首页  词典首页


请输入您要查询的字词:

 

字词 鞣酸
类别 中英文字词句释义及详细解析
释义

鞣酸


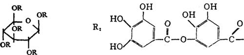
分子量1701.18

鞣酸是一类有机酚类复杂化合物的总称,尤以高等植物中分布更为普遍,来源不同而结构有差异。五倍子(Rhus chinensis Mill)中含鞣酸达60~77%,诃子(Termnalia chebula Retz)含30~40%,均为他们主要有效成分。

提取 五倍子粉碎后加4倍量热水于40~50℃温浸24h。滤出浸出液,加水冷却至5~8℃,加活性炭脱色过滤,滤液经过强酸性阴离子交换树脂除去无机盐。洗脱液浓缩后趁热倾入90~95%乙醇,冷后过滤,滤液浓缩至干即为鞣酸成品。

性质 淡黄色无定形粉末,微有特殊气味,具强烈涩味。遇清蛋白、淀粉、明胶及生物碱或金属盐产生沉淀,遇铁变黑。能溶于水、醇、丙酮和甘油,几乎不溶于醚、苯、氯仿和石油醚,需密封避光保存。

用途 鞣酸因能与蛋白质结合生成不溶于水的鞣酸蛋白,故在洗发剂中用入可防止发纤维蛋白质的溶触而保护头发〔2〕,在指甲用品中使用则可增加指甲强度〔3〕。没食子鞣酸和并没食子鞣酸具强烈的自由基清除作用〔4〕,效用与没食子酸、儿茶精类化合物相似,用于护肤品可防晒、亮肤。鞣酸有收敛性和抗菌性,临床用于治疗局部出血,可用入牙膏护齿和防止齿龈出血〔5〕

应用举例 保健牙膏(W%)

文献来源〔1〕北京中医学院《中药化学》P200;〔2〕日本公开特许公报87,190,115;〔3〕Ger,offen.DE3,403,476;〔4〕国外医学中医中药分册1982,14(4),22;〔5〕Ger,offen,DE,3,420,337。

国内生产厂 北京化工厂等。

随便看

 

离鸟网收录3541549条中英文词条,其功能与新华字典、现代汉语词典、牛津高阶英汉词典等各类中英文词典类似,基本涵盖了全部常用中英文字词句的读音、释义及用法,是语言学习和写作的有利工具。

 

Copyright © 2004-2024 vtrois.com All Rights Reserved
更新时间:2026/4/6 19:48:04