网站首页  词典首页


请输入您要查询的字词:

 

字词 颜色的稳定性
类别 中英文字词句释义及详细解析
释义

颜色的稳定性


一、葡萄酒中的呈色物质

葡萄酒中的色泽主要来自葡萄各部分及木桶中的呈色物质,不同的呈色物质给红葡萄酒与白葡萄酒以不同的颜色。

葡萄酒中的呈色物质是一种酚类化合物(表4-1-20),包括来自葡萄的比较简单的化合物和来自木桶的比较复杂的单宁。它们相互间具一定的转变关系,这些对葡萄酒的色泽、口感及氧化还原等方面具有重要作用。

表4-1-20 葡萄酒中的酚类物质

葡萄酒中的总酚浓度受发酵温度、皮渣浸提时间、酒精浓度、搅动或泵送、葡萄品种等影响(表4-1-21)。

表4-1-21 葡萄酒中总酚浓度

(一)花色素苷

花色素苷是红葡萄酒的主要色素,以单配糖体(糖苷)或双配糖体形式存在,花色素苷依葡萄品种不同而含量各异,葡萄中的色素含量直接影响到酒的颜色。

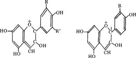
花色素苷主要存在于果皮中,葡萄中5种花色素糖苷的配基存在于不同苷式中(见图4-1-5,表4-1-22)。

表4-1-22 花色素与糖苷的关系

图4-1-5 5种糖苷配基相对应的5种花色素及酰化了的花色索苷

1.R=R′=OH:花翠素 4.R=OH:花青素

2.R=OCH3;R′=OH:3′-甲花翠素 5.R=OCH3:甲基花青素

3.R=R′=OCH3:二甲花翠素

(二)单宁

单宁是一类特殊的酚类化合物,具有收敛性,能和蛋白质或多糖物质聚合。分水解单宁和缩合单宁,水解单宁来自贮存橡木桶,缩合单宁来自葡萄。

黄烷(C15H14O)分子的聚合作用是单宁结构的本质。单宁的性质与其缩合程度有密切关系,葡萄与葡萄酒中的单宁是各种聚黄烷的混合体。由于单宁的缩合状态变化,引起葡萄酒的颜色及相应的口感变化。

白葡萄酒的色泽成因主要与单宁有关。

单宁的平均分子量表示其缩合的程度,在新酒中单宁平均分子量为500~700,在陈酒中则为2000~3000。

表4-1-23为葡萄酒中总酚、花色素和单宁含量。

表4-1-23 葡萄酒中总酚、花色素和单宁含量

二、葡萄酒色泽的变化

葡萄酒色泽的变化受多种因素的影响。

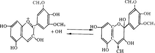
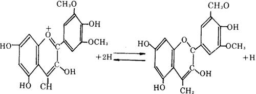
(1)pH作用 花色素苷在不同pH环境中,其显色作用不同。在酸性状态下,花色素苷呈红色,并发现花色素苷溶液的色调在pH2.9时较在pH3.9时深6倍。

(2)亚硫酸的作用 亚硫酸能与花色素苷起缩合,形成无色的化合物(见第三篇第二章)。

(3)花色素苷也能被还原褪色,反应也是可逆的。这反应说明某些新从发酵槽流出的红葡萄酒之所以色浅是由于槽底部较强还原作用所致。随着花色素苷的氧化,颜色将变深。

(4)花色素苷如在侧边的芳香环的邻位带二个OH基(如3′——甲花翠素、花翠素、花青素),能与重金属(铁与铝)复合形成蓝色化合物,这一反应在酸性条件下进行不快,若酒中有二价铁氧化成三价铁时,能促成这些化合物的形成。在葡萄酒贮存过程中花色素苷有所破坏,其原因在于氧化作用,并受Fe3+催化,温度增高,则加快反应。

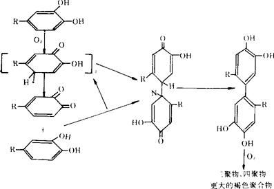
(5)黄烷分子的缩合也可能是氧化过程。儿茶酸由空气的氧或多酚氧化酶的氧化,以致形成一种醌式结构的多聚体,这种多聚体是黄棕色的,随着缩合作用的进行而加深,这是白葡萄酒变褐的原因,这个反应受铁(Fe3+)催化。

以儿茶酸为例:

为了避免白葡萄酒变褐,可采用PVPP过滤,减少多酚含量,是一个有效的办法。

(6)在新酒中花色素苷对红葡萄酒的色泽形成影响较大。单宁也对增加新酒的颜色有作用。花色素苷在发酵时由于还原作用,一部分成为无色。

(7)在葡萄酒酿造过程后数周,同时发生两类反应:①被还原的花色素又重新氧化,致使颜色增加;②还原型或氧化型的花色素苷都可能被不同的化学反应部分地破坏,或因与单宁缩合而被部分破坏。在此期间酒色的增加与减褪取决于两类反应的相对速率。

(8)葡萄酒在陈酿过程中,花色素苷逐渐消失,因而在陈酒中,单宁成了色泽的主要作用,由于单宁本身氧化缩合,致使色调由黄逐渐变为橙褐。最后这些单宁在陈酒的色泽中扮演了最重要的角色。

三、色素稳定性试验

取一瓶葡萄酒在0℃下保持12h以上,如果出现红色沉淀,则色素不稳定。在这种情况下膨润土处理可避免在装瓶后出现色素沉淀。冷冻处理具有同样效果。但是,红葡萄酒的色素稳定性是暂时的,在陈酿过程中可能出现新的色素沉淀。

随便看

 

离鸟网收录3541549条中英文词条,其功能与新华字典、现代汉语词典、牛津高阶英汉词典等各类中英文词典类似,基本涵盖了全部常用中英文字词句的读音、释义及用法,是语言学习和写作的有利工具。

 

Copyright © 2004-2024 vtrois.com All Rights Reserved
更新时间:2026/4/8 5:19:58