网站首页  词典首页


请输入您要查询的字词:

 

字词 食品中山梨聚糖脂肪酸酯的测定方法
类别 中英文字词句释义及详细解析
释义

食品中山梨聚糖脂肪酸酯的测定方法


1.原理

山梨聚糖脂肪酸酯为山梨糖醇、山梨聚糖和山梨糖醇酐的各种脂肪酸酯混合物。食品中的山梨聚糖脂肪酸酯是通过将皂化分解后得到的山梨糖醇、山梨聚糖和山梨糖醇酐作为三甲基甲硅烷化物,由气相色谱定量山梨聚糖单脂肪酸酯。

2.试剂和溶液

2.1 乙醇(95%体积分数) 特级。

2.2 二甲苯 分析纯以上。

2.3 硅胶 100~200目色谱纯硅胶。

2.4 1,4,3,6-山梨糖醇酐将20g山梨糖醇和5g对-甲苯磺酸悬浊在60mL二甲苯中,边搅拌边用135~140℃回流4h,冷后,除去二甲苯。残留物加稀乙醇溶解,中和后过滤,滤液浓缩,得到的糖浆状物质溶解在甲醇中,加5g硅胶,蒸去甲醇,将残留物注入预先把硅胶分散在氯仿中充填的柱中。将40mL甲醇与200mL氯仿的混合液加入层析柱中,使其溶出,将溶出液减压浓缩,得1,4,3,6-山梨酸酯。

2.5 1,4-山梨聚糖 向20g山梨糖醇中,滴加浓硫酸及水各三滴,在140℃减压加热30min,加水后用活性炭脱色,用钡盐将硫酸除去后,减压浓缩,所得到的糖浆状物质溶于甲醇中,加5g硅胶,蒸去甲醇,将残留物加入预先用硅胶30g分散于氯仿中充填的层析柱中,将60mL甲醇同200mL氯仿的混合液通过层析柱,使之流出,将流出溶液减压浓缩即得到1,4-山梨聚糖。

2.6 α-(D)山梨糖醇 特级。

2.7 三甲基氮代硅烷 市售TMS化用。

2.8 对-甲苯磺酸 一级。

2.9 内标液 准确称取α-甲基-D(+)葡萄糖苷1.0mg,放入100mL容量瓶中,加氯仿溶解成100mL,密塞保存。

2.10 吡啶 甲硅烷化试剂。

2.11 正丁醇 特级。

2.12 1,1,1,3,3,3-六甲基二硅氨烷(Hexa methyl disilazane) 甲基硅烷化用。

2.13 无水硫酸钠 特级。

2.14 L-甲基-D(+)葡萄糖苷 特级。

2.15 TMS试剂 将2mL1,1,1,3,3,3-六甲基二硅氨烷和1mL三甲氯代硅烷加入10mL吡啶中。

3.仪器

带氢火焰的气相色谱仪(FID-GC)。

4.测定方法

4.1 样品溶液的制备。

4.1.1 水性食品:通常准确称取相当于山梨聚糖脂肪酸酯约50mg的样品10~20g,冷冻干燥,加20mL氯仿,在温水浴中加热回流1h后,过滤,残渣中加20mL氯仿,重复同样操作,合并全部滤液,作为样品溶液。

4.1.2 油性和其他食品:通常称取相当于山梨聚糖脂肪酸酯约50mg样品10~20g,加20mL氯仿,在温水浴上加热回流1h后,过滤,残渣中加20mL氯仿,重复同样操作,合并全部滤液,作为样品溶液。

4.2 标准液的配制 准确称取α-(D)山梨糖醇、1,4-山梨聚糖和1,4,3,6-山梨酸酯各100mg,混匀,加氯仿成100mL。准确取此液2ml,加氯仿定容至100mL,作为标准液(此液1mL含α-(D)山梨糖醇、1,4-山梨聚糖和1,4,3,6-山梨酸酯各20μg)。

4.3 测定。

4.3.1 测定条件:用带氢火焰鉴定器的气相色谱仪(FID-GC)。

填充剂:在60~80目硅烷处理的硅藻土担体上按3%比例涂覆JXR硅酮;

色谱柱:内径3mm,长1m;

柱温:以10℃/min的速度升温至120~320℃;

进样口和鉴定器温度:300℃;

载气:氮气50mL/min。

4.3.2 测定液配制:将样品溶液放入浓缩器中,减压浓缩蒸去氯仿,加100mL0.5mol/L氢氧化钠-乙醇溶液,加热回流1h,减压浓缩后,加120mL0.5mol/LHCl,加热回流1h,冷后,移入分液漏斗中,每次加25mL正己烷洗涤水层两次,弃去洗液,将水层放入浓缩器中,用0.5mol/L氢氧化钠-乙醇溶液中和,准确加1mL内标液,减压浓缩后加3g无水硫酸钠及25mL正丁醇,充分振摇,过滤,用25mL正己烷洗残渣,合并滤液和洗液,减压浓缩,除去正丁醇。准确加3mL吡啶、3mLTMS溶剂,振摇30min,作为测定液。

4.3.3 标准曲线的制作:准确吸取标准液0.1mL、0.5mL、1mL放入浓缩器中,分别加1mL内标液减压浓缩,除去氯仿,各加吡啶3mL、TMS溶液3mL,振摇30min,作为标准曲线用标准溶液。

取标准曲线用标准液各2μL,注入气相色谱仪,从所测得峰面积比分别绘制α-(D)山梨糖醇、1,4-山梨聚糖和1,4,3,6-山梨酸酯的标准曲线。

5.定量

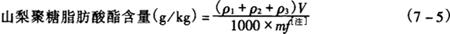
取测定液2μL,注入气相色谱仪,所得α-(D)山梨醇、1,4-山梨聚糖和1,4,3,6-山梨酸酯各峰面积比,分别在各标准曲线上求出测定液中的各自浓度(μg/mL),按下式计算出样品中的山梨聚糖脂肪酸酯含量(g/kg)。

6.分析结果的表述

式中 ρ1——测定液中山梨醇浓度,μg/mL

ρ2——测定液中1,4-山梨聚糖浓度,μg/mL

ρ3——测定液中1,4,3,6-山梨酸酯浓度,μg/mL

V——测定液量,mL

m——取样量,g;

f——以山梨聚糖单硬脂酸酯换算时,f=0.27

注:将山梨聚糖脂肪酸酯换算成山梨聚糖单硬脂酸酯时,其中山梨糖醇等多元醇部分所占比例,因市售品在25%~29%范围内,计算中采用平均数27%。

随便看

 

离鸟网收录3541549条中英文词条,其功能与新华字典、现代汉语词典、牛津高阶英汉词典等各类中英文词典类似,基本涵盖了全部常用中英文字词句的读音、释义及用法,是语言学习和写作的有利工具。

 

Copyright © 2004-2024 vtrois.com All Rights Reserved
更新时间:2026/4/9 3:56:43