网站首页  词典首页


请输入您要查询的字词:

 

字词 食品中碘的测定方法
类别 中英文字词句释义及详细解析
释义

食品中碘的测定方法


化学名:碘化钾(Potassium Iodide)

分子式:KI

相对分子质量:166.00

一、碘的鉴别方法

1.试剂和溶液

1.1 碘化钾。

1.2 氯仿。

2.操作步骤

2.1 10%本品溶液在无色火焰中燃烧,火焰呈紫色。

2.2 向10%本品溶液中加氯的饱和水溶液,碘析出而溶液呈黄至红色,加入氯仿后振摇,氯仿层呈紫色。

二、碘化钾的含量测定

取本品约0.3g,精密称定,加水10mL溶解后加盐酸35mL用0.05mol/L碘酸钾溶液滴定至黄色,加氯仿5mL继续滴定,同时振摇,至氯仿层颜色消失。1mL碘酸钾(0.05mol/L)相当于16.60mgKI。

三、食品中碘的测定法

(一)气相色谱法

1.原理

碘在酸作催化剂的条件下与丁酮反应生成有机碘丁酮。利用电子捕获检测器对卤化物具有高灵敏度的反应。用气相色谱仪、电子捕获检测器测定,标准碘液或碘化钾与丁酮反应作外标,与样液对照,计算得率。

2.试剂和溶液

2.1 碘化钾 分析纯。

2.2 1mg/mL标准碘母液 溶解0.1307g碘化钾(经烘干去水分)于去离子水中,移入棕色容量瓶,并用去离子水定容至100mL。

2.3 10μg/mL标准碘工作液 取1mL母液于100mL棕色容量瓶中,用去离子水定容。

2.4 0.02%亚硝酸钠 溶解0.02g分析纯亚硝酸钠于100mL去离子水中。

2.5 澄清剂。

2.5.1 溶液1:用去离子水溶解21.9g乙酸锌,加33mL冰乙酸,稀释至100mL。

2.5.2 溶液2:溶解10.6g亚铁氰化钾于100mL去离子水中。

2.6 2-丁酮。

2.7 石油醚 分析纯,60~90℃。

2.8 正己烷 分析纯。

2.9 无水硫酸钠 500℃灼烧5h。

2.10 浓硫酸 分析纯。

3.仪器

气相色谱仪,带电子捕获检测器。

超声波处理机。

4.测定方法

4.1 样品处理 称取试样3g,用少量去离子水溶解,加澄清剂溶液1、2各3mL,摇匀,定容至50mL,加30mL石油醚,超声15min,弃去石油醚,过滤,取滤液20mL于分液漏斗中加25mL去离子水,0.7mL浓硫酸,0.3mL2-丁酮,1mL0.02%亚硝酸钠溶液,摇匀,室温下静置20min,用20mL、15mL、10mL正己烷萃取3次,弃去水相,合并正己烷,用正己烷洗至中性,过无水硫酸钠,再用少量正己烷洗无水硫酸钠,定容在50mL棕色容量瓶中,备用。

4.2 测定 气相色谱仪工作条件:

色谱柱:Φ3mm,长2m玻璃柱,填以2.3%×E60,60~80目Chromosorb;

柱温:90℃:

电子捕获检测器温度:140℃;

汽化室温度:140℃;

N2流量:40~50mL/min;

基流:1.0nA;

量程:10;

纸速:5mm/min;

进样量:标准与样品均为5mL。

5.分析结果的表述

式中 Fi——校正因子

Ai——样液峰面积

Ais——标准峰面积

wis——标样浓度

m——样品量

(二)比色法

1.原理

以碳酸钠固定碘、硫酸锌助灰化、高温干灰化法破坏有机质,以碘化钾形式保留在灰分中,然后用水溶解,离心分离去除含碳物质,利用碘对亚硝酸钠破坏硫氰酸铁的催化作用,使橘黄色的硫氰酸铁定量地褪色,比色测定剩余硫氰铁的颜色,在一定范围内,碘浓度与光密度呈线性关系。

2.试剂和溶液

2.1 30%碳酸钾。

2.2 10%硫酸锌。

2.3 0.006mol/L硫氰化钾 溶解0.23g硫氰化钾于水中,稀释至1000mL。

2.4 硫酸铁铵试剂 溶解77g硫酸铁铵〔NH4Fe(SO4)2·2H2O〕于400mL水中,添加(167±1)mL浓硝酸,稀释至1000mL。

2.5 0.3mol/L亚硝酸钠 溶解2.07g亚硝酸钠于水中,稀释至100mL(当天配制)。

2.6 4mg/mL标准碘贮备液 精确称取预先在干燥器中干燥好的碘化钾0.5232g,溶于水中,稀释至100mL(至少可稳定1个月)。

2.7 40μg/mL标准碘中间液 精确吸取标准碘贮备液10mL,用水定容至1000mL。

2.8 0.2μg/mL标准碘工作液 精确吸取中间液5mL,用水定容至1000mL,避光或贮存于棕色玻璃瓶中(每月配制1次)。

3.仪器

瓷坩埚:30mL

高温炉:0~1000℃

离心机:4000r/min

分光光度计

4.测定方法

4.1 标准曲线 准确吸取标准工作液0.0,2mL,4mL,6mL,8mL,10mL于6只100mL容量瓶中,各加30%碳酸钾1mL,用水定容(浓度分别为0.0,4ng/mL,8ng/mL,12ng/mL,16ng/mL,20ng/mL),按比色测定方法进行,以检测标准工作液碘含量为横坐标,光密度为纵坐标,作图。

4.2 样品处理 精确称取匀样(碘含量不超过1μg)于瓷坩埚中,加1.0mL30%碳酸钾、1.0mL硫酸锌溶液用水、玻璃棒搅匀后,放95℃烘箱中烘干,加盖放入100℃高温炉中,缓慢升温至550~600℃,保持1h,立即取出坩埚冷至室温,再加1mL硫酸锌溶液,再干燥,灰化如前,直至得到白色灰分,用(50±0.5)mL去离子水分数次将灰分转移到离心管内,以3000r/min离心沉淀10min,上清液吸入干燥洁净瓶内待测,同时作空白。

4.3 比色测定 吸取标准工作液(0,4ng/mL,8ng/mL,12ng/mL,16ng/mL,20ng/mL),样液和试剂空白各4.0mL,于具塞试管中,分别加去离子水1.0mL,硫氰化钾1.0mL,硫酸铁铵2.0mL,充分摇匀以准确1min间隔时间添加1.0mL亚硝酸钠溶液,摇匀,放置30min,再以准确1min间隔,倒入1cm比色杯中,于波长450nm下测其吸光度。

5.分析结果的表述

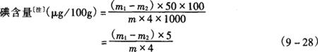
分别以样液和试剂空白的吸光度代入线性方程求得碘含量(ng),然后按式(9-27)计算:

回归方程:

y=0.62-6.12-3x (9-27)

式中 y——光密度

x——碘含量,ng

式中 m1——样液含碘量,ng

m2——试剂空白含碘量,ng

m——样重,g

注:本法测出的碘为样品中总碘。

随便看

 

离鸟网收录3541549条中英文词条,其功能与新华字典、现代汉语词典、牛津高阶英汉词典等各类中英文词典类似,基本涵盖了全部常用中英文字词句的读音、释义及用法,是语言学习和写作的有利工具。

 

Copyright © 2004-2024 vtrois.com All Rights Reserved
更新时间:2026/4/9 3:00:16