网站首页  词典首页


请输入您要查询的字词:

 

字词 食品中蔗糖脂肪酸酯的测定方法
类别 中英文字词句释义及详细解析
释义

食品中蔗糖脂肪酸酯的测定方法


化学名:蔗糖脂肪酸酯(Sucrose Fatly Acid Ester)

别名:脂肪酸蔗糖酯,蔗糖酯

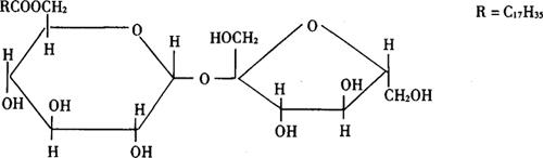
结构式:

分子式:C30O12H56(以蔗糖单硬脂酸计)

相对分子质量:608.76

一、蔗糖脂肪酸酯的鉴别

本试验中所用的药品和仪器均属实验室一般用品。

1.原理

蔗糖酯在乙醇溶液中与氢氧化钾作用分解成硬脂酸盐和蔗糖,除去乙醇后加入盐酸溶液与硬脂酸盐作用生成硬脂酸,然后用乙醚萃取。水相中的蔗糖则用蒽酮试液检验。

2.试剂和溶液

2.1 乙醚。

2.2 氯化钠。

2.3 盐酸溶液(1+3)。

2.4 无水硫酸钠。

2.5 蒽酮硫酸溶液2g/L。

2.6 氢氧化钾乙醇溶液30g/L(95%乙醇)。

3.样品处理

称取1g试样于250mL三角瓶中,加25mL氢氧化钾乙醇溶液(2.6),装上回流冷凝管,在水浴上加热微沸1h,取下稍冷后加50mL蒸馏水,再浓缩近30mL后移出,加10mL盐酸溶液(2.3),充分振荡,加入氯化钠(2.2)使之成为饱和溶液,摇匀置于分液漏斗中,每次用30mL乙醚(2.1)抽提2次,将醚层与水层分离待测。

4.操作步骤

醚层液用20mL氯化钠饱和溶液洗涤后,加2g无水硫酸钠(2.4)脱水,取乙醚液置于通风橱内的水浴上浓缩,残留物是白色柔软晶片。

取2mL水层于试管,在水浴上加热赶尽乙醚,冷却后沿管壁加1mL蒽酮硫酸溶液(2.5)后应呈蓝绿色,即可验证为蔗糖酯。

二、食品中蔗糖脂肪酸酯的测定方法

1.原理

食品中的蔗糖脂肪酸酯可用异丁醇抽提,再用薄板层析分离单、双、三各酯,最后用比色法定量。

2.试剂和溶液

2.1 蒽酮 分析纯以上。

2.2 蒽酮试剂 取0.4g蒽酮,预先溶于20mL硫酸中,用75mL硫酸将其洗入100mL硫酸、60mL水和15mL乙醇的混合液中。放冷、暗处保存,2日内有效。

2.3 乙醇溶液 于4份乙醇中加1份水,混合。

2.4 第一次展开剂 石油醚∶乙醚=1∶1。

2.5 第二次展开剂 氯仿∶甲醇∶乙酸∶水=40∶5∶4∶1。

2.6 桑色素 特级。

2.7 桑色素液 将50mg桑色素溶于100mL甲醇中。

3.仪器

分光光度计。

4.测定方法

4.1 样品溶液的制备 准确称取含蔗糖脂肪酸酯100mg左右的样品20g以下,放入第一个分液漏斗中,加200mL异丁醇和200mL(1→10)氯化钠液[1],将分液漏斗置于60~80℃水浴中并振摇10min。把水层转入第二个500mL分液漏斗中,加200mL异丁醇,在60~80℃水浴中振摇10min,弃去水层。向第一个分液漏斗中加200mL(1→10)氯化钠溶液,在60~80℃水浴中振摇10min,把水层转到第二个分液漏斗中,在60~80℃水浴中振摇10min后,弃去水层,将第一、第二个分液漏斗的异丁醇层用异丁醇定量地通过滤纸移入浓缩器,在70℃减压浓缩,除去异丁醇。残渣中加入20mL氯仿溶解,转入25mL容量瓶中,浓缩器每次用少量氯仿洗涤2次,将洗液转入容量瓶中,加氯仿至刻度,作为样品溶液。用微量注射器准确吸取20μL,点在薄层板下端2cm处。将薄层板放入预先加入第一次展开溶剂的第一展开槽中,展开至点样处以上12cm[2],取出薄层板,于60℃干燥30min后,放冷,放入预先加入第二次展开溶剂的第二次展开槽中,展开至点样处以上10cm处,取出薄层板,在通风橱中挥散溶剂,然后于100℃干燥箱中干燥20min,至溶剂完全挥散为止。

为确认各点,向薄层上喷雾桑色素液,在暗室中用紫外灯照射,划出确认的各蔗糖单、双、三酯边线[3]

取下单、双、三酯各色带,分别置于TM、TP、TT试管中,向TM加4mL乙醇,向TD和TT中各加2mL乙醇,分别作为样品液。另外刮取未点样品溶液的相应各部位上的薄层,置于TBM、TBD、TBT试管中,在TBM加4mL乙醇,向TBD、TBT中各加2mL乙醇,分别作为空白溶液。

4.2 薄板 硅胶薄层板110℃活化1.5h,2日内有效。

4.3 标准液的制备 准确称取在硫酸真空干燥器中干燥了的蔗糖200mg,准确加入1mL硫酸及乙醇液至200mL。取此液10mL,加乙醇定容至200mL,作为标准液(该液含蔗糖50μg/mL)。

4.4 测定。

4.4.1 仪器:分光光度计,在620nm测吸光度。

4.4.2 测定液的制备:分别把装有TM、TD、TT的检液试管在流水中边冷却边向TM管中加入20mL蒽酮,向TD和TT管中各加入10mL蒽酮,3个管分别于60℃水浴中浸渍30min,其间混摇2~3次,然后在冷水中冷至室温。

将上述试管中溶液分别转入离心管中,以4000r/min离心5min,其上清液作为样品测定液。

另外,单、双和三酯所对应的空白溶液与上法同样操作,作为各检液相对应的空白测定液。

4.4.3 标准曲线的制作:准确吸取标准液0,1mL,2mL,分别放入试管TB、Ts1和Ts2中,向TB管中加2mL乙醇,向Ts1管中加1mL乙醇,将3支试管分别置流水中冷却,同时向各管中加入10mL蒽酮,以下操作同4.4.2。分别作为标准曲线用空白测定液和标准曲线用标准测定液。

标准曲线用标准测定液和标准曲线用空白测定液,分别以乙醇作为参比,在波长620nm处测定吸光度Es1、Es2和EB,计算Es1、Es2与EB的差△E1、△E2绘制标准曲线。

4.4.4 定量 各样品测定液均以乙醇作为参比,在波长620nm处,测定EAM、EAD、EAT的吸光度,并测定相对应的空白测定液EBH、EBD、EBT的吸光度,计算它们的差△EM、△ED、△ET,在标准曲线上求出各样品测定液中的各酯的结合糖浓度(μg/mL),按下式计算出样品中蔗糖脂肪酸酯含量(g/kg)。

式中 ρM——样品测定液中单酯结合糖的浓度,μg/mL

ρD——样品测定液中双酯结合糖的浓度,μg/mL

ρT——样品测定液中三酯结合糖的浓度,μg/mL

m——取样量,g

M、D、T——系数,根据蔗糖脂肪酸酯的种类,查表7-1

VM——单酯的测定液量,mL

VD——双酯的测定液量,mL

VT——三酯的样品测定液量,mL

表7-1

注:[1]在样品不含油脂或几乎不含油脂的情况下,也可省去第一次展开。

[2]也可用氯仿和饱和氯化钠溶液代替异丁醇和(1→10)氯化钠液。

[3]由于单、双、三酯的标准斑点图形,如图7-1所示,故可引出边界线。

图7-1

随便看

 

离鸟网收录3541549条中英文词条,其功能与新华字典、现代汉语词典、牛津高阶英汉词典等各类中英文词典类似,基本涵盖了全部常用中英文字词句的读音、释义及用法,是语言学习和写作的有利工具。

 

Copyright © 2004-2024 vtrois.com All Rights Reserved
更新时间:2026/4/9 9:28:44