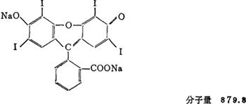
别名 食用樱桃红、赤藓红、四碘荧光素钠盐
国外相应商品名:Aizen Food Red No.3(HCC);Edicol Red CI14(ICI);Erythrosine A-CE,A-FDC(Fran)
染料索引号:C.I.食品红14(酸性红57)(45430-1975)
结构式

性能 红至红褐色粉末或颗粒,无臭。溶于水(1g/10mL,室温)为不带荧光的樱桃红色。溶于乙醇、丙二醇和甘油,不溶于油脂。耐光、耐酸性差。耐热、耐还原性好。在碱中稳定,在酸中可发生沉淀。对蛋白质的染色性好。吸湿性强。毒性:ADI0~1.25mg/kg(FAO/WHO,1985),LD506800mg/kg(小鼠,经口)。
质量规格(FAO/WHO,1984)

用途 同食用柠檬黄。用于化妆用香精、牙膏、花露水、浴液、洗发水等着色,但不得用于眼部化妆品。
国内生产厂 上海染料研究所。