网站首页  词典首页


请输入您要查询的字词:

 

字词 食品黄4
类别 中英文字词句释义及详细解析
释义

食品黄4


别名 酒石黄(Tartrazine)、食用柠檬黄

国外相应商品名:Aizen Food Yellow No.4(HCC);Edicod Yellow CI4,CI4FG(ICI);Sicovit Tartrazine 85(BASF);Tartrazine A-FDC(Fran);Tartrazine Specially Pure 85(BAY)

染料索引号:C.I.酸性黄23;食品黄4(19140-1975)

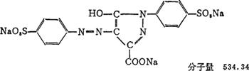
结构式

性能 橙黄色粉末或颗粒,无臭。易溶于水(1g/10mL、室温)呈黄色溶液,溶于甘油、乙二醇,微溶于乙醇、溶纤素,不溶于油脂和其它有机溶剂。耐光、耐热性(150℃)强。在柠檬酸、酒石酸中稳定。遇浓硫酸呈黄色,稀释后呈黄色溶液,遇浓硝酸也呈黄色溶液。它的水溶液加盐酸色泽不变,遇碱稍变红(加浓氢氧化钠呈红光黄色)。还原时退色。

牢度性能

毒性:ADI0~7.5mg/kg(FAO/WHO,1985)。LD5012.75g/kg(小鼠,经口)。

分别用添加0.5,1.0,2.0,5.0%柠檬黄的饲料喂养小鼠2年,无异状。

用途 食用黄色色素。(1)用于食品方面:按GB2760-86规定,可用于果味水、果味粉、果子露、汽水、配制酒、糖果、糕点裱花、红绿丝、罐头、浓缩果汁、青梅。最大使用量0.10mg/kg。红绿丝用量可加倍,果味粉色素加入量按稀释倍数的50%加入。(2)用于药物方面:药用片剂、水溶剂、酊剂、糖衣、胶丸和药用油膏等着色。(3)用于化妆品方面:化妆用香精、牙膏、花露水、洗发水、浴液等水剂产品、头油、头蜡等着色。不得用于眼部化妆品。

国内生产厂 上海染料研究所。

质量规格(GB4481-84;FAO/WHO,1984)

随便看

 

离鸟网收录3541549条中英文词条,其功能与新华字典、现代汉语词典、牛津高阶英汉词典等各类中英文词典类似,基本涵盖了全部常用中英文字词句的读音、释义及用法,是语言学习和写作的有利工具。

 

Copyright © 2004-2024 vtrois.com All Rights Reserved
更新时间:2026/4/9 12:21:35