网站首页  词典首页


请输入您要查询的字词:

 

字词 饮料厂用电要求及负荷计算
类别 中英文字词句释义及详细解析
释义

饮料厂用电要求及负荷计算


(一)设计所需基础资料

(1)全厂用电设备清单和用电要求。

(2)供用电协议和有关资料,包括供电电源及其技术数据;供电线路进户方位和方式,供电部门要求的供电费用;量电方式及量电器材供应划分;厂外供电器材划分以及地区气象、土质有关情况等。

(二)供电要求和负荷计算

1.供电要求和相应措施

(1)饮料厂负荷随季节有所变化,一般小型厂宜采用一台变压器供电;大中型厂宜采用两台变压器供电。

(2)饮料厂机械化水平不断提高,用电设备逐年增加,变配电设施宜留有一定发展余地。

(3)冷库氨压缩机用电负荷较大,变配电设施宜接近或毗邻氨压缩机间。

(4)用电设备一般属Ⅲ类负荷,采用单电源供电。

(5)饮料厂的溶糖间、配料间、灌装间等水、汽多、湿度高,供电管线及电气插座等应考虑防潮。

2.负荷计算

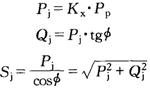
为了确定饮料厂的全厂用电负荷和选择变压器,多采用需要系数法。计算式如下:

式中 Pp——用电设备的装接容量之和,kW

Pj——最大计算有功负荷,kW

Qj——最大计算无功负荷,kV·A

Si——最大计算视在负荷,kV·A

Kx——用电设备的需要系数

cosΦ、tgΦ——用电负荷的平均自然功率因数及其正切值

(1)按车间计算用电负荷 饮料厂各车间用电负荷,包括需要系数Kx、cosΦ、tgΦ,可参考表6-7-13。

表6-7-13 饮料厂各车间用电负荷

(2)按全厂装接容量计算用电负荷 根据全厂设备装接容量及厂的生产性质所体现的需要系数,可粗算全厂用电负荷,并选择变压器。全厂性用电技术数据见表6-7-14。

表6-7-14 饮料厂用电技术数据

表6-7-13和表6-7-14两表所列数据,随自动化水平不断提高,需要系数有增大的趋势。

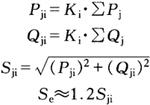
(3)变压器容量的选择 变压器的容量可根据全厂或其供电范围内的总计算负荷选择,一般需考虑20%左右的富裕量。

式中 Se——变压器额定容量,kV·A

Sii——全厂总视在负荷,kV·A

Pji——全厂总有功负荷,kW

Qji——全厂总无功负荷,kV·A

Ki——用电负荷同时系数,Ki=0.9~0.95

3.无功功率的补偿

按规定,低压用户的功率因数应不低于0.85;高压用户的功率因数不低于0.9。达不到规定时,一般采用低压静电电容器补偿,补偿方式可采用部分集中在配电间,小部分分散到有关负荷点。用电负荷较大时,也可采用高低压综合补偿,此时低压侧一般补偿到0.85左右,再由高压侧补偿到0.9。补偿所需容量可按下式计算:

式中 Qc——补偿所需容量,kV·A

tgΦ1、tgΦ2——补偿前、后功率因数的正切值

qc——比补偿功率,kV·A/kW,见表6-7-15

表6-7-15 比补偿功率qc值 单位:kV·A/kW

α--平均负荷因数,一般取0.7~0.75。

随便看

 

离鸟网收录3541549条中英文词条,其功能与新华字典、现代汉语词典、牛津高阶英汉词典等各类中英文词典类似,基本涵盖了全部常用中英文字词句的读音、释义及用法,是语言学习和写作的有利工具。

 

Copyright © 2004-2024 vtrois.com All Rights Reserved
更新时间:2026/4/8 4:07:42