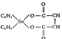
【结构式】:

一般认为本品是马来酸二丁基锡的聚合物,具有如下结构:

【释文】:
制法 由二丁基氧化锡和马来酸酐反应制得。
性质 白色粉末。锡含量33~34%。熔点108~113℃。微溶于苯、甲苯。有吸湿性和催泪性。
用途 本品可作为聚氯乙烯的热稳定剂,具有优良的耐热性、耐候性和透明性,无硫化污染性,长期耐热性特别好,可以防止在高温加工时制品变黄。本品在硬质透明制品中尤为适用,其熔点较高,不会降低硬质制品的软化点和冲击强度。一般用量为0.5~2%,与钡皂或镉皂并用有协同效应,可进一步提高稳定效力,与二月桂酸二丁基锡并用可更加改善制品的透明性和耐热性,与环氧化合物并用可降低其催泪性。本品缺乏润滑性,加工性能差;因有挥发性,加工时有时会起泡,而且在加热时所生成的氯化氢作用下,本品会转位成为富马酸酯,与树脂的相容性下降,易喷霜。此外本品还具有毒性。为了改进这些缺点,发展了许多改性品种,现在称为马来酸二丁基锡的商品实际上绝大多数都是经过改性的品种。
国外商品名


为了进一步改进加工性能,国外还生产许多液体马来酸二丁基锡,这些品种多为淡黄色透明液体,无臭,有润滑性,适用于挤塑和注塑成型品,中空成型品。液体马来酸二丁基锡的主要商品如下。

