网站首页  词典首页


请输入您要查询的字词:

 

字词 高一等标准的选取
类别 中英文字词句释义及详细解析
释义

高一等标准的选取


在量值传递时,要求高一等标准的不确定度可以略去。

可以略去的原则是要求略去影响小于不略去结果的1/10。

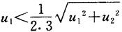
若高一级标准的标准不确定度分量为u1,其余标准不确定度分量为u2,则它们无关时

可得

取满足上式最小正整数3,得

即高一等标准不确定度只须为合成标准不确定度的,即可略去。

若u1,u2完全正相关,变为

在计量工作中,考虑以上两种情况,高一等标准不确定度宜取为低一等标准不确定度的

【参考文献】:

[1]王立吉,计量学基础,中国计量出版社,1988。

[2]BIPM、IEC、IFCC,IUPAC,IUPAP,OIML,Guide to the Expression of Uncertainty in Measurement, ISO,1993.

[3]刘智敏,不确定度原理,中国计量出版社,1993。

[4]刘智敏,误差分布论,原子能出版社,1988。

[5]刘智敏,误差与数据处理,原子能出版社,1983。

[6]Liu Zhimin(刘智敏),Measurement Uncertainty and Its Correlation Combination,Proceeding of ISEM, 1993.

[7]国家计量总局量值传递处编,计量技术考核纲要,计量出版社,1981。

[8]国家技术监督局审定,刘智敏等编审,全国计量检定人员考核统一试题集第六分册三,误差及数据处理,陕西科学技术出版社,1990。

随便看

 

离鸟网收录3541549条中英文词条,其功能与新华字典、现代汉语词典、牛津高阶英汉词典等各类中英文词典类似,基本涵盖了全部常用中英文字词句的读音、释义及用法,是语言学习和写作的有利工具。

 

Copyright © 2004-2024 vtrois.com All Rights Reserved
更新时间:2026/4/8 2:49:01