网站首页  词典首页


请输入您要查询的字词:

 

字词 高粱红
类别 中英文字词句释义及详细解析
释义

高粱红


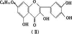
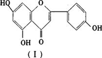
主要着色成分为:(Ⅰ)5,7,4′-三羟基黄酮和(Ⅱ)3,5,3′,4′-四羟基黄酮-7-葡萄糖苷。

结构式

分子式:C15H10O5

相对分子质量:270.24

结构式

分子式:C21H20O12

相对分子质量:464.38

一、高粱红的鉴别

1.试剂和溶液

1.1 氨水。

1.2 甲醇 分析纯。

1.3 1%三氯化铝甲醇溶液。

1.4 乙醇 分析纯。

1.5 镁粉。

1.6 盐酸 分析纯。

2.操作步骤

2.1 取本品水溶液少许,滴于滤纸上,干后置于氨蒸气中,样点转变为橙黄色,立即置于紫外灯光下观察,呈黄绿色荧光。

2.2 取本品少许,溶于甲醇中,加1%三氯化铝甲醇溶液,呈鲜黄色。

2.3 将本品溶于95%乙醇中,取1mL于试管中,加入镁粉,再加入浓盐酸数滴,溶液呈红色。

2.4 本品水溶液最大吸收峰为500nm。

二、高粱红的吸光度测定

1.试剂和溶液

1.1 乙醇 分析纯。

1.2 盐酸 分析纯。

1.3 40%乙醇-盐酸溶液(pH3.0) 用去离子水配制40%乙醇溶液,用浓盐酸调节pH3.0。

2.仪器

分光光度计。

3.测定方法

精确称取样品0.15g(准确至0.001g),用40%乙醇-盐酸溶液(pH3.0)定容至100mL。从中取5.0mL,再以40%乙醇-盐酸溶液(pH3.0)定容至100mL。以40%乙醇-盐酸溶液(pH3.0)为参比液,以1cm比色皿在波长490nm处测定样品的吸光度A。

式中 A——吸光度

f-稀释倍数

m——样品质量

随便看

 

离鸟网收录3541549条中英文词条,其功能与新华字典、现代汉语词典、牛津高阶英汉词典等各类中英文词典类似,基本涵盖了全部常用中英文字词句的读音、释义及用法,是语言学习和写作的有利工具。

 

Copyright © 2004-2024 vtrois.com All Rights Reserved
更新时间:2026/4/8 23:59:27