网站首页  词典首页


请输入您要查询的字词:

 

字词 高血压病及高血压危重症
类别 中英文字词句释义及详细解析
释义

高血压病及高血压危重症


高血压是以体循环动脉压增高为主要表现的临床综合征,其本身可引起一系列症状,且降低生活和工作质量,重病者甚至可危及生命。长期高血压可影响重要脏器尤其是心、脑、肾的功能,最终导致脏器功能衰竭。绝大多数高血压病因不明,称为原发性高血压,又称高血压病。约5%的患者,血压升高是某些疾病的一种表现,称为继发性高血压,又称为症状性高血压。

【病因】 本病病因未完全阐明,目前认为是在一定的遗传基础上,由于多种后天因素的作用,使正常血压调节机制失代偿所致,可能与遗传、A型性格、肥胖、饮食和吸烟等因素有关。

【分型及临床表现】

1.缓进型高血压病:多数患者中年后起病,有家族史者发病年龄可较轻。起病多数隐匿,病情发展慢,病程长。

(1)脑部表现:头痛、头晕和头胀是高血压病常见的神经系统症状,也可有头部沉重或颈项板紧感。高血压直接引起的头痛多发生在早晨,位于前额、枕部或颞部,这些病人舒张压多很高,经降压药物治疗后头痛可减轻。高血压引起的头晕可为暂时性或持续性,伴有眩晕者较少。注意,血压下降得过多有时也可引起头晕。

(2)心脏表现:血压长期升高增加了左心室的负担,左心室因代偿而逐渐肥厚、扩张,形成了高血压性心脏病。出现临床症状的高血压性心脏病多发生在高血压病起病数年至十余年之后。在心功能代偿期,除有时感到心悸外,其他心脏方面的症状可不明显。代偿功能失调时,则可出现左心衰竭症状,开始时在体力劳累、饱食和说话过多时发生气喘、心悸、咳嗽,以后呈阵发性发作,常在夜间发生,并可有痰中带血等,严重时或血压骤然升高时发生肺水肿。反复或持续的左心衰竭,可影响右心室功能而发展为全心衰竭,出现尿少、水肿等症状。在心脏未增大前,体检可无特殊发现,或仅有脉搏或心尖搏动较强有力,主动脉瓣区第二心音亢进;心脏增大后,体检可发现心界向左、向下扩大;心尖搏动强而有力,呈抬举样;心尖区和(或)主动脉瓣区可听到Ⅱ~Ⅲ级收缩期吹风样杂音。心力衰竭时心率增快,出现紫绀,心尖区可闻奔马律,肺动脉瓣区第二心音增强,肺底出现湿啰音,并可有交替脉;后期出现颈静脉怒张、肝肿大、下肢水肿、腹水和紫绀加重等。

由于高血压可促进动脉粥样硬化,部分病人可因合并冠心病而有心绞痛、心肌梗死的表现。

(3)肾脏表现:早期可无任何临床表现。随病程的进展可出现蛋白尿、血尿(多为显微镜血尿),少见有透明和颗粒管型,甚至有肾功能衰竭的表现。

2.急进型高血压病:在未经治疗的原发性高血压病病人中,约有1%可发展成急进型高血压,发病较急骤,也可发病前有病程不一的缓进型高血压病史。其表现基本上与缓进型高血压病相似,但症状如头痛等明显,有病情严重、发展迅速、视网膜病变和肾功能很快衰竭等特点。血压显着升高,舒张压多持续在17.3~18.7kPa(130~140mmHg)或更高,常于数月或1~2年内出现严重的脑、心、肾损害,发生脑血管意外、心力衰竭和尿毒症,并常有视力模糊或失明,视网膜可发生出血、渗出物及视乳头水肿。

3.高血压危重症

(1)高血压危象:由于原发性高血压约占高血压的95%,因此临床上多见于原来血压不显着升高的原发性高血压患者,由于情绪波动、过度疲劳及气候改变等因素,使脑循环自身调节失调,周围小动脉暂时性强烈痉挛,血压骤升,引起剧烈头痛、眩晕、呕吐等。此外,某些继发性高血压也可有危象发生。

(2)高血压脑病:上述高血压危象若未及时控制,进一步可发展成持续剧烈头痛、精神症状、视力障碍,甚至局灶性癫痫、烦躁或嗜睡、神志不清等。上述症状多在血压升高12小时内发生,过高的血压突破脑血管的自身调节机制,导致脑灌注过多,造成脑水肿。需与脑出血、脑血栓形成相鉴别。在紧急血压下降数小时内脑病症状及体征均消失。

【高血压病诊断标准及分级】

1.1999年WHO高血压诊断要点:成年人(>18岁)收缩压≥18.7kPa(140mmHg)和(或)舒张压≥12kPa(90mmHg)为高血压;血压<17.3/11.3kPa(130/85mmHg)为正常血压;17.3~18.5/11.3~11.9kPa(130~139/85~89mmHg)为临界高血压;16/10.7kPa(120/80mmHg)为理想血压。

2.分类标准:为避免引起病人恐惧以及评价病情的片面性,不再使用过去的Ⅰ、Ⅱ、Ⅲ期或轻、中、重度的分类方法,新的高血压分类标准为:一级高血压:18.7~21.2/12~13.20kPa(140~159/90~99mmHg);二级高血压:21.3~23.9/13.3~14.50kPa(160~179/100~109mmHg);三级高血压:≥24/14.70kPa(180/110mmHg)。以收缩压或舒张压的最高级进行分类,单纯收缩期高血压为收缩压≥18.7kPa(140mmHg)、舒张压<12kPa(90mmHg)。收缩压增高比舒张压增高的危害更大。

【治疗措施】 高血压病属慢性病,因此需要长期耐心而积极的治疗,主要目的是降低动脉血压至正常或尽可能接近正常,以控制并减少与高血压有关的脑、心、肾和周围血管等靶器官损害。近年来大量临床对照试验结果表明,通过降压药物或非药物治疗使血压降至正常,可减少高血压患者脑卒中的发生率和死亡率,防止和纠正恶性高血压,降低主动脉夹层分离的病死率。高血压患者的靶器官损害与血压增高的程度密切相关。因此,目前临床上对中、重度高血压,或已伴有靶器官损害的高血压患者,均主张立即开始降压药物治疗。

1.一般治疗

(1)劳逸结合,保持足够而良好的睡眠,避免和消除紧张情绪,适当使用安定剂(如地西泮2.5mg,口服)。避免过度的脑力和体力负荷。对轻度高血压患者,经常从事一定的体育锻炼(如练气功和打太极拳)有助于血压恢复正常,但对中重度高血压患者或已有靶器官损害表现的Ⅱ、Ⅲ期高血压患者,应避免竞技性运动。

(2)减少钠盐摄入(<6g/d)、维持足够的饮食中钾、钙和镁摄入。

(3)控制体重,肥胖的轻度高血压患者通过减轻体重往往能使血压降至正常,对肥胖的中重度高血压患者,可同时行减轻体重和降压药物治疗。

(4)控制动脉硬化的其它危险因素,如吸烟、血脂增高等。

2.降压药物治疗:近年来,抗高血压药物的研究发展迅速,特别是β受体阻滞剂、钙拮抗剂和血管紧张素转换酶抑制剂等新型降压药的问世,从根本上改变了高血压药物治疗的面貌。根据不同患者的特点单独选用或联合应用各类降压药,已可使大多数高血压患者的血压得到控制。

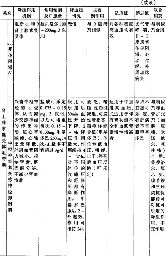
常用降压药的分类及特点见表4-4。

表4-4 常用降血压药物

3.降压药物选用原则

(1)各种降压药物有其各自的药理学特点,临床上应根据患者的年龄、高血压程度和分期、有无并发症或夹杂症(如糖尿病、高血脂、心绞痛、心力衰竭、心肌梗死、心律失常、支气管和肺部病变等)及其他冠心病危险因素的存在与否,以及用药后的反应选择用药,才能得到满意的疗效。

(2)对缓进型高血压患者,阶梯式降压药物选择原则的首选药目前已从利尿剂和β阻滞剂扩展到包括钙拮抗剂和血管紧张素转换酶抑制剂,根据不同患者的特点,选用这四类药物中的一种,从小剂量开始逐渐增加剂量,直到血压获得控制或达最大量,或出现不良反应。达到降压目的后再逐步改为维持量,以保持血压正常或接近正常。维持量治疗应力求简单,用最小剂量,使副作用最少而病人能坚持服药。大多数高血压病患者需长期服用维持量降压药,如无必要,不应突然停药或换药。对重度高血压,可能一开始就需要联合使用两种降压药。联合应用几种降压药物的优点是:①通过协同作用提高疗效;②减少各药剂量使副作用减少。

(3)密切注意降压药物治疗中所产生的各种不良反应,及时加以纠正或调整用药。原则上,理想的降压药应能纠正高血压所致的血流动力异常(增高的外周阻力和减少的心排血量)而不影响患者的压力感受器反射机制。使用可引起明显体位性低血压的降压药物前,宜先向病人说明。从坐位或卧位起立时动作应尽量缓慢,特别是夜间起床小便时更要注意,以免血压骤降引起晕厥而发生意外。近年发现噻嗪类利尿剂能升高血浆胆固醇和甘油三酯水平,β阻滞剂能增高血浆甘油三酯和降低高密度脂蛋白胆固醇水平,因此对血脂异常者应慎用。钙拮抗剂和血管紧张素转换酶抑制剂对血脂无影响,而α阻滞剂和中枢交感神经兴奋剂能轻度降低血清总胆固醇,因此适用于伴有血脂异常的高血压患者。

(4)血压重度增高多年的患者,由于外周小动脉已产生器质性改变,或由于患者不能耐受血压的下降,即使联合使用几种降压药物,也不易使收缩压或舒张压降至正常水平。此时不宜过分强求降压,否则患者常反可感觉不适,并有可能导致脑、心、肾血液供应进一步不足而引起脑血管意外、冠状动脉血栓形成、肾功能不全等。

(5)对老年人的单纯收缩期高血压,应从小剂量开始谨慎使用降压药物,一般使收缩压控制在18.7~21.3kPa(140~160mmHg)为宜。可选用钙拮抗剂或转换酶抑制剂,必要时加用少量噻嗪类利尿剂。老年人压力感受器不敏感,应避免使用胍乙啶、α阻滞剂和拉贝洛尔等药物,以免产生体位性低血压。

(6)急进型高血压的治疗措施和缓进型重度高血压相仿。如血压持续不下降,可考虑用冬眠疗法;如出现肾功能衰竭,则降压药物以选用甲基多巴、肼屈嗪、米诺地尔、可乐定等为妥,且不宜使血压下降太多,以免肾血流量减少而加重肾功能衰竭。

4.高血压危象的治疗

(1)迅速降压:治疗目的是尽快使血压降压至足以阻止脑、肾、心等靶器官的进行性损害,但又不导致重要器官灌注不足的水平。可选用下列措施:

①硝普钠:30~100mg,加入5%葡萄糖溶液500ml,避光,静脉滴注,滴速0.5~10μg(kg·min),使用时监测血压,根据血压下降情况调整滴速。

②二氮嗪:200~300mg,于15~30秒内静脉注射,必要时2小时后再注射。可与呋噻米联合治疗,以防水钠潴留。

③拉贝洛尔:20mg静脉缓慢推注,必要时每隔10分钟注射一次,直到产生满意疗效或总剂量200mg为止。

④酚妥拉明:5mg缓慢静脉注射,主要用于嗜铬细胞瘤高血压危象。

⑤人工冬眠:氯丙嗪50mg,异丙嗪50mg和派替啶100mg,加入10%葡萄糖溶液500ml中静脉滴注,亦可使用其一半剂量。

⑥对血压显着增高,但症状不严重者,可舌下含用硝苯地平10mg,卡托普利12.5~25.0mg。或口服哌唑嗪1~2mg,可乐定0.1~0.2mg或米诺地尔等。也可静脉注射地尔硫或尼卡地平。降压不宜过快过低。血压控制后,需口服降压药物,或继续注射降压药物以维持疗效。

(2)制止抽搐:可用地西泮10~20mg静脉注射,苯巴比妥钠0.1~0.2g肌肉注射。亦可予25%硫酸镁溶液10ml深部肌肉注射,或以5%葡萄糖溶液20ml稀释后缓慢静脉注射。

(3)脱水、排钠、降低颅内压

①呋噻米20~40mg或依他尼酸钠25~50mg,加入50%葡萄糖溶液20~40ml中,静脉注射。

②20%甘露醇或25%山梨醇静脉快速滴注,半小时内滴完。

(4)其他并发症的治疗:参见“急性脑血管疾病”、“心功能不全”、“肾功能衰竭”等部分。对主动脉夹层分离,应采取积极的降压治疗,诊断确定后,宜施行外科手术治疗。

5.高血压脑病的治疗

(1)迅速降低血压可选用措施

①硝普钠30~100mg加入5%葡萄糖液500ml中,缓慢静滴,以血压调节滴速。

②25%硫酸镁10ml,深部肌注或用5%葡萄糖20ml稀释后缓慢静注。

③利血平1~2mg肌注,1~2次/日,本药起效慢而平稳,适于快速降压后,维持血压应用。

④酚妥拉明5~10mg,肌注或静注,亦可稀释后静滴。

⑤阿方那特500mg加入500ml液体中静滴,开始每分钟测血压1次,根据血压调节滴速(2~3ml/min)。

⑥氯甲苯噻嗪(低压唑)200~300mg,15~30秒内静脉注完。必要时2小时后再注射1次,并可与速尿联合以防钠、水潴留。

⑦溴化六甲双胺50mg加入500ml液体中静滴,开始2分钟测血压1次,依血压调节滴速。

⑧汉防己甲素50mg用25%葡萄糖液20~40ml稀释后静注,2次/日。

(2)降低颅内压,消除脑水肿,见“脑出血”部分。

(3)控制癫痫:见“癫痫”部分。

(4)病因治疗:症状控制后,有肾功能衰竭者可行透析治疗,妊娠毒血症者应引产等。

【预后】 缓进型高血压病发展缓慢,病程常可达二三十年以上。在第一、第二期如能及时治疗,可获得痊愈或控制住病情的进展。如血压能经常保持正常或接近正常〔控制在21.3/13.3kPa(160/100mmH以下)〕,则脑、心、肾等并发症不易发生,病人可长期保持一定的劳动力,但血压进行性增高,眼底病变较重,家族中有早年死于心血管病的病史,以及血浆肾素活性或血管紧张素Ⅱ高的病人,预后较差。如病情发展到第三期,由于有脑、心、肾等脏器的严重损害,发生脑血管意外、心力衰竭、肾功能衰竭的可能性增多,可使劳动力减退或完全丧失。

急进型高血压病进展迅速,预后差,平均仅存活一年左右。但如及早采取积极治疗措施,有可能使5年生存率达到20%~50%。

高血压病的死亡原因,在我国以脑血管意外为最多,其次为心力衰竭和尿毒症。这与欧美国家以心力衰竭占首位,其次是脑血管意外和尿毒症者有所不同。

随便看

 

离鸟网收录3541549条中英文词条,其功能与新华字典、现代汉语词典、牛津高阶英汉词典等各类中英文词典类似,基本涵盖了全部常用中英文字词句的读音、释义及用法,是语言学习和写作的有利工具。

 

Copyright © 2004-2024 vtrois.com All Rights Reserved
更新时间:2026/4/8 17:57:13