网站首页  词典首页


请输入您要查询的字词:

 

字词 黄原胶
类别 中英文字词句释义及详细解析
释义

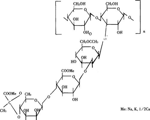
黄原胶


结构式:

相对分子质量:(5~50)×106

一、黄原胶的鉴别

1.试剂和溶液

槐豆胶(鉴别专用)。

2.操作步骤

2.1 溶解性试验 醚溶于水,不溶于醇、酮、醚等有机溶剂。

取样品1g,慢慢倾入装有25℃100mL温水的烧杯中,浸泡15min后,小心将搅拌棒浸入水中,慢慢开启搅拌至200r/min,25min后即可完全溶解。按上述方法将样品加入乙醇、丙酮、乙醚中不溶解。

2.2 鉴别试验 加300mL水于1个500mL烧杯中,预热到80℃,开启搅拌至200r/min,边搅拌边加入干燥样品和槐豆胶各1.5g,至混合物形成溶液后,继续搅拌30min以上(搅拌过程中水温不低于60℃)。停止搅拌,在室温下至少冷却2h,当温度降到低于40℃时,形成凝胶状物。按上述方法制备1%的样品溶液作为对照,不加槐豆胶,无此胶状物出现。

二、黄原胶的定量

按二氧化碳测定法(脱羧法)测定,每毫升0.25mol/LNaOH相当于5.5mgCO2

随便看

 

离鸟网收录3541549条中英文词条,其功能与新华字典、现代汉语词典、牛津高阶英汉词典等各类中英文词典类似,基本涵盖了全部常用中英文字词句的读音、释义及用法,是语言学习和写作的有利工具。

 

Copyright © 2004-2024 vtrois.com All Rights Reserved
更新时间:2026/4/8 1:50:48