网站首页  词典首页


请输入您要查询的字词:

 

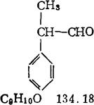
字词 龙葵醛
类别 中英文字词句释义及详细解析
释义

龙葵醛


又称2-苯丙醛。以苯乙酮和一氯醋酸为原料,按Dar2ens法合成。

性质 无色至淡黄色液体,具强烈刺激、青-土壤香气,稀释后呈花香;沸点204℃,相对密度0.998~1.006,折光指数1.5140~1.5190,闪点79℃,含醛量≥95%。

用途 用于调配日化香精、食用香精。

国内生产厂 山东济南市轻工研究所。

随便看

 

离鸟网收录3541549条中英文词条,其功能与新华字典、现代汉语词典、牛津高阶英汉词典等各类中英文词典类似,基本涵盖了全部常用中英文字词句的读音、释义及用法,是语言学习和写作的有利工具。

 

Copyright © 2004-2024 vtrois.com All Rights Reserved
更新时间:2026/4/6 14:57:44