网站首页  词典首页


请输入您要查询的字词:

 

字词 1701年
类别 中英文字词句释义及详细解析
释义

1701年

英国东印度公司特派负责对华贸易的加其布遣船3艘至浙江舟山、宁波等地试行贸易。因当时浙江海关税率较轻,各国商贾纷纷往浙江贸易。


军事


1701年

1月18日,勃兰登堡选帝侯腓特烈三世迫使神圣罗马皇帝允诺其称普鲁士王。腓特烈三世在哥尼斯堡行加冕礼,改称腓特烈一世,建立了普鲁士王国,首都设在柏林。
9月,流亡在法国的詹姆斯二世逝世,法国国王路易十四立其子詹姆斯·爱德华为英王。
英国议会通过《王位继承法案》,规定英国国王必须是新教信徒,不经议会同意不得擅离国土,不得使英国卷入任何保护王室在外国土地的战争,外国人不得在英国政府或军队中担任官职,内阁必须为国王的行动负责,法官任期为终身制等。从而排斥了笃信天主教的王裔继承王位的可能性。
英国、荷兰及神圣罗马皇帝结成第三次反法同盟。法国则与巴伐利亚、萨伏依等结成同盟以对抗。


1701年

1月,清廷准莫斯科派商人先后4批共计456人来华贸易。
5月,修永定河、子牙河堤210余里竣工。


1701年

北美英属殖民地创立耶鲁大学,对北美13个殖民地开放。


1701年

孟莎[法]设计的法国旺道姆广场建成。


其他


1701年

西班牙王查理二世死后无嗣,法国与奥地利为争夺西班牙王位继承权,爆发持续13年之战争。
5月,萨伏依的欧根亲王取捷径越过阿尔卑斯山,于9月1日击败法军进攻,促使德国诸邦和萨伏依一起参加反对法国和西班牙联盟的战争。


1701年

1月,西藏叛兵攻清军营垒,清军相机击败之,收复河东2处地方。月底,四川提督唐希顺率兵分三路攻打箭炉,杀西藏叛兵5 000人。
12月,康熙于北京南苑红门内检阅八旗官兵。


1701年

2月,四川提督康希顺率部进入打箭炉,商民、喇嘛、藏民及木雅头目错王端柱等首先归顺,来附者1.2万余户。诏命赏赐并令其各安生业。
10月30日,噶尔丹之侄策妄阿喇布坦解送噶尔丹之女钟齐海到京。康熙命与噶氏之子塞卜腾巴尔珠,同住并授塞卜腾巴尔珠一等侍卫,命钟齐海嫁二等侍卫沙克都尔为妻,咸令得所。


1701年

哈雷根据航海罗盘记录,出版根据当时还新颖的麦卡托投影法制成的大西洋和太平洋地磁图,图上标明了当时大西洋上罗盘变化的等值线分布。


生物学


1701年

塔尔[英]发明一种作物种子条播机械,他还引进了一种新的犁耕体系,能增加作物根部供水,并减少休闲耕地。


医学


1701年

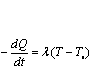
牛顿提出物体冷却速度正比于它超出周围介质的温度差的冷却定律:

式中,dQ为物体单位表面上在时间dt内所损失的热量;T为物体在时刻t的温度;T0为周围介质温度;λ为某一系数。
牛顿使用一个亚麻子油温度计作实验,提出了将正在结冰的水温和人体温度作为温度计上的两个固定点,将二者间液面差划为12等分的温标。

1701年

赫维留[波]出版了他所编制的《赫维留星表》。


地学

随便看

 

离鸟网收录3541549条中英文词条,其功能与新华字典、现代汉语词典、牛津高阶英汉词典等各类中英文词典类似,基本涵盖了全部常用中英文字词句的读音、释义及用法,是语言学习和写作的有利工具。

 

Copyright © 2004-2024 vtrois.com All Rights Reserved
更新时间:2026/4/5 15:31:40