网站首页  词典首页


请输入您要查询的字词:

 

字词 1702年
类别 中英文字词句释义及详细解析
释义

1702年

11月,康熙帝南巡至德州,评阅梅文鼎所著《历学疑问》未定稿并作批语。


地学


1702年

实测中经线上由霸州到洨河的直线长度,发现径线一度的长距不等。其中运用天文方法确定的单位“里”,早于西方于1791年确定的“公里”90年。


农学


1702年

11月8日,黄河水从大通口畅出,淮河水从清口畅流敌黄,高家堰堤工完固,各处工程保固。


1702年

英国参加西班牙王位继承战争,对法宣战。荷兰也参加西班牙王位继承战争,对法宣战。英荷联军多次战胜法西联军。


1702年

2月,修国子监文庙及公廨。
7月2日,因近来“士习末端,儒教罕著”,康熙作“训饬士子文”,要求士子“争自灈磨,积行勤学”。
礼部议准在北京崇文门外设立义学,选五城各小学民间孤寒子弟入学就读,并颁“广育群才”匾额。
史学家万斯同卒。万氏为浙江鄞县人,修明史历19年,王鸿绪《明史稿》多出其手,后又据王稿增删成《明史》,并撰《历代史表》。


政法


1702年

法国科学院院士撰写的《动物的自然史》一书的英译本由亚历山大·匹特菲尔德[英]翻译,在伦敦出版。
列文虎克观察轮虫时,发现雨水中有微生物,故提出外露的水都会有细菌,风能将附在空气中的灰尘上的细菌带入水中。他的细致观察和精确解释导致建立了细菌学和原生动物学。


农学


1702年

12月,九卿会议定:铜钱仍按顺治14年(1657年)式样铸造,停铸旧式小钱。
清廷取消京城内外煤业牙行,煤牙额税停止征收。


军事


1702年

12月,康熙令四川绿营兵在打箭炉剿西藏叛兵。并命: “以万人克此劲敌,议功时宜加优叙。”


1702年

7月,四川大小凉山彝族首领马比必等归顺朝廷,清廷授为土千户,颁给信印。
8月1日,理藩院因俄罗斯人骚扰喀尔喀蒙古事件,咨文俄尼布楚长官,并要求引渡逃犯。次年,俄国将4名逃犯送还。


经济


1702年

《迈厄尼全集》出版,其中论及氢这一气体在空气中燃烧的性质。
斯塔尔出版《贝歇尔派范本》一书,对各种燃烧现象甚至更广泛的化学反应作了统一解释,提出了燃素假说。对结束炼金术对化学发展的束缚起了一定积极作用,并建立了实用的化学理论。


天文学


1702年

阿蒙东用水的沸点作为温度计的定点。
牛顿否弃无重量的以太概念。
阿蒙东对伽利略空气温度计实行改进,利用连在U形管的一端玻璃球中的空气作测温的物质,使球内空气的容积保持一定,温度数值则由长臂里的水银柱表示。实际上他建立了气压变化与温度变化的正比关系。
阿蒙东率先指出测温液体特别是酒精的不规则膨胀。


化学


1702年

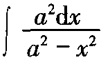
约翰·伯努里发现

从而可以立即将积分求出。这样便引入了部分分式积分方法。莱布尼茨也发现了这一方法,并将它载入同年的《教师学报》。
雅各布·伯努里用sin nα按sinα展开,然后让α趋向于0而n变成无穷,使得nα趋于x,而同时nsinα(即nαsinα/α) 也趋向于x的方法,推导出sin x和cos x的级数。
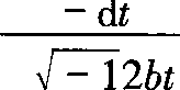
约翰·伯努里指出:正如用替换z=b(t-1)/(t+1)将adz/(t+1) 变成adz/2bt那样, 用替换z=(t-1)/(t+1) 可将微分dz/b2+z变成,而后者是一个虚数的对数的微分。因为原积分也可导出函数arctg,这样就建立了三角函数和对数函数之间的关系。
约翰 ·伯努里断言: 任何有理数的积分无需包含三角函数和对数函数以外的任何其他超越函数。莱布尼茨撰文以x4+a4为例,指出这是不可能的。
戴维 ·格雷戈利出版一本旨在捍卫牛顿理论的著作。

物理学


1702年

英国文学家笛福写成《消灭不同教派的捷径》,讽刺保守派对非国教信徒的迫害。
荷兰宾克舒克出版成名作《海上管辖权》,讨论早两个世纪引起争论的海洋主权问题。
世界上第一张日报《每日新闻》在英国问世。
法国开始出版34册的《耶稣会士书简集》,介绍中国的基本情况。


政法


1702年

1月,俄国彼得一世召见日本人传兵卫,开始俄国最早的日语教学。同时西伯利亚厅命令该地区官员收集有关日本的情报并发现和扩展新领土。
3月,英王威廉三世死,詹姆斯二世之女安妮继承王位。
法王路易十四迫害胡格诺教派引发朗格多克省赛汶山区农民起义。起义持续2年,动摇了法国专制制度的基础。
门的内哥罗王在圣诞节前夕对境内土耳其人进行大屠杀。
北美爆发“安妮女王之战”。阿布纳基印第安人同法军一起进攻北美缅因州边境的英国移民点,约300多移民被杀。


经济

随便看

 

离鸟网收录3541549条中英文词条,其功能与新华字典、现代汉语词典、牛津高阶英汉词典等各类中英文词典类似,基本涵盖了全部常用中英文字词句的读音、释义及用法,是语言学习和写作的有利工具。

 

Copyright © 2004-2024 vtrois.com All Rights Reserved
更新时间:2026/4/5 15:31:53