网站首页  词典首页


请输入您要查询的字词:

 

字词 EOQ方法
类别 中英文字词句释义及详细解析
释义 EOQ方法

中文译名为:经济订购量。

它是一种存货决策方法,用以确定在年度物资需要一定的情况下,使存储费用和订购费用的总和为最小时的订购批量。

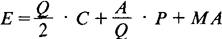
设单位材料年度储存费用为C,由于储存量在Q与零之间变动,其平均值为,故年度储存费用为

全年度材料需要量为A,则每年订购次数为A/Q,年订购费用为,式中P为一次订购费用。

年度材料费用为单位材料费用M与A的乘积。

所以年度总费用为:

为求最优订购量Q0,对上式取导,并等于零:

解之,即为经济订购量。

随便看

 

离鸟网收录3541549条中英文词条,其功能与新华字典、现代汉语词典、牛津高阶英汉词典等各类中英文词典类似,基本涵盖了全部常用中英文字词句的读音、释义及用法,是语言学习和写作的有利工具。

 

Copyright © 2004-2024 vtrois.com All Rights Reserved
更新时间:2026/4/6 23:19:49