网站首页  词典首页


请输入您要查询的字词:

 

字词 F检验
类别 中英文字词句释义及详细解析
释义 F检验

用F统计量进行的统计检验。

F统计量是根据样本数据求得的某两个独立的方差估计量的比率。F检验在统计分析和经济计量分析中经常被应用。

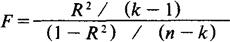
例如:(1)检验线性回归模型的总显著性,即检验所有自变量的系数等于0的假设,通常用统计量

作为检验指标。这里R2为判定系数,k为变量个数,n为样本容量。

(2)检验由于增添解释变量(自变量)使拟合是否得到改进。(3)检验由不同样本求得的回归系数是否相等。

随便看

 

离鸟网收录3541549条中英文词条,其功能与新华字典、现代汉语词典、牛津高阶英汉词典等各类中英文词典类似,基本涵盖了全部常用中英文字词句的读音、释义及用法,是语言学习和写作的有利工具。

 

Copyright © 2004-2024 vtrois.com All Rights Reserved
更新时间:2026/5/25 7:54:33