F检验法
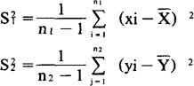
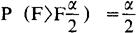
已知两个正态总体,但其均值和方差都未知。 从第一个正态总体中抽取容量为n1的一组样本:x1,x2……xn1,从第二个正态总体中抽取容量为n2的一组样本:y1,y2……yn2,检验两总体方差是否相等的统计检验方法。其检验步骤如下: 1.提出统计假设H0: ; 2.计算出两个样本的均值X和 以及方差 和 :  将它们按大小分别记为S2大和S2小。 再计算比: ; 3.以n大表示n1和n2中较大者,以n小表示n1和n2中较小者。按给定的显著水平α,查F分布表,其中参数f1=n大-1,f2=n小-1,求值 使  4.进行统计推断。如 ,则否定H0;如 ,则接受H0。 |