Gompertz曲线拟合
Gompertz曲线拟合就是对双变量实测数据用Gom-pertz曲线来拟合,并用拟合曲线的方程来分析两变量之间的关系。Gompertz曲线又称Gompertz增长曲线,由B.Gompertz于1825年所创用,多用于分析人口变动趋势及生物学研究等方面。目前在医学上不如logistic曲线或指数曲线等多用。
Gompertz曲线的指数式和对数式如下:
Y=KGax,(1)
lgY=lg K+(lgG)ax,(2)式中X为自变量,Y为应变量,其他均为拟合曲线的常数。此曲线的相对增长率(或减缩率)按固定速度递减(或递增)。此曲线画在方格坐标纸上呈不对称的S形或反S形,如图1,上渐近线的纵坐标是K,下渐近线是0。画在半对数纸上则向下凹陷或向上凸起,如图2,说明尚存人数的减缩率随年龄而递增。式(2)等号后第一项为K的对数,第二项为在半对数纸上任一已知时点的曲线与上渐近线的纵向距离,在增长曲线上此距离随时间而减小,在减缩曲线上此距离随时间而增大。
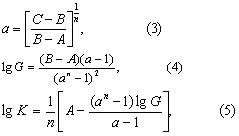
拟合时常用选点法。最小二乘法不适用于一般计算,但可用于电子计算机计算。由于拟合时往往只取其中的一段,故所得曲线图形与其他几种曲线不易区别。式(2)中各常数可由下式计算:

式中A、B、C为Y的变量值分别合并成三个组时的各组合计数,如表中第(5)栏;n为各组包含的变量值个数。例 某人口简略寿命表中,已知40~80岁各年龄x岁时的尚存人数lx,见表第(1)、(3)栏。试拟合Gompertz曲线以修匀,并估计80岁以后各年龄的尚存人数îx。
估计某寿命表(摘录)的尚存人数

为简化运算,将各年龄用缩简值X=(x/5)-8代表,见表中第(2)栏。将第(3)栏数据作对数变换,再合并,见第(5)栏,n=3。按式(3)、(4)、(5),得

将有关数据代入式(1)或(2)得

以X=0,1,2,…,14代入上式,即得表中第(4)栏数据Ŷ,即估计的各年龄尚存人数îî(修匀值)。
作图: 在方格坐标纸上,将表中第(1)、(3)栏数据描点,见图1黑点;将(1)、(4)栏数据作图,见图1曲线,即拟合的Gom-pertz曲线。绘在半对数纸上,见图2。

图1 某寿命表40岁及以上的尚存人数

图2 某寿命表40岁及以上的尚存人数(半对数图)