PDPC法
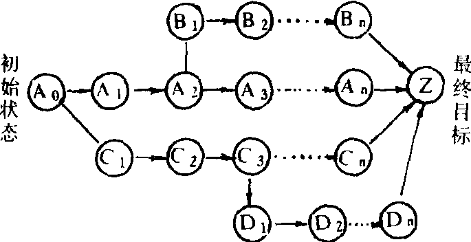
亦称“过程决策程序图法”。质量管理的“新七种工具”之一。用来分析某项工程随着事态发展可能出现的各种问题,并寻找达到最佳结果的有效途径的方法。主要用于: 制定目标管理、科研项目的实施计划; 制定预防产品制造过程中出现不合格品的措施; 预测系统运行过程中可能发生的重大事故,并制定相应对策; 制定和选择谈判过程中的对策等。应用PDPC法的一般步骤是: (1) 确定研究对象和欲达目标; (2) 组织有关人员分析预测对象发展过程中可能出现的各种情况,分别制定达到预期目标的相应对策和实施步骤,并用图形表示出来 (见下图); (3) 确定各方案的具体负责者。运用PDPC法来分析研究系统发展过程并制定相应对策,可以提高计划的预见性和对环境条件变化的适应性,从而保证预期目标的实现。
