网站首页  词典首页


请输入您要查询的字词:

 

字词 ridit分析
类别 中英文字词句释义及详细解析
释义
Ridit分析

Ridit分析

Ridit分析是一种关于等级资料进行对比组与标准组比较的假设检验方法。其基本思想是先确定一个标准组(常为以往积累资料或样本含量相当大的资料)作为特定总体,求得各等级的R值,可以证明: 标准组R值的均数标为0.5。假设对比组系来自标准总体的随机样本,则可信度为(1-α)时,对比组总体R值的可信区间包括0.5的概率为(1-α);反之,若此区间不包括0.5,则可根据检验水准α拒绝假设,而认为对比总体与标准总体有差别。Ridit一词系relative to an identified distribu-tion的缩写“Rid”与unit的字尾“it”组成。意即与特定分布相对的单位。其方法步骤如下:
1. 选定标准组,计算标准组各等级的R值及其均数R标。先将标准组各等级的频数之半与累计频数(移下一行)相加,除以总例数即得各等级的R值,如表2。R值在0~1之间。再按式(1)计算其均数R标。理论上R标=0.5,可作R值计算的核对。

式中F为标准组各等级的频数,N为标准组的总例数。2. 计算对比组的R值。即参照标准组各等级的R值为单位,按式(2)计算对比组的平均R值R。

式中R为标准组各等级的R值,f为对比组相应各等级的频数,n为对比组总例数。
3. 计算对比组总体R值的可信区间。
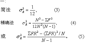
(1)计算标准组R值的方差σR2。选用式(3)~(5)之

式(4)与式(5)计算结果相等。
(2)计算对比组值的标准误σ。按式(6),


(3)计算对比组总体值的可信区间。按式(7)或式(8):
95%可信区间 (-1.96σ+1.96σ), (7)
99%可信区间 (-2.58σ, +2.58σ)。 (8)式(7)如以2取代1.96,则由式(3)、(6)、(7)可得式(9),使95%可信区间的计算更为简便。


4. 作出推断结论。如果上述95%可信区间不包括0.5,结论为按α=0.05水准,可认为对比组与标准组有差别;反之若包括0.5,则不能认为对比组与标准组有差别。取99%可信区间时,仿此,按α=0.01水准作出结论。
本法亦可用于多个对比组与一个标准组作比较,并可以图示表明各可信区间与R=0.5的关系,其结论一目了然。
例 用某中药合剂与胆麻片分别治疗慢性支气管炎病人,结果见表1。问两药的疗效有无差别?

表1 两种药对慢性支气管炎的疗效

疗 效
分 级
人 数构成比(%)
合剂组胆麻片组合剂组胆麻片组
无 效
好 转
显 效
控 制
760
1870
670
30
9
51
21
13
22.8
56.2
20.1
0.9
9.6
54.3
22.3
13.8
合 计3330
(N)
94
(n)
100.0100.0

H0: 对比组总体R=0.5,
H1: 对比组总体≠0.5。
α=0.05。
(1)计算标准组的R值。选合剂组的疗效分布为标准组,见表2第(1)、(2)栏;取各等级频数之半数,列于第(3)栏;将第(2)栏频数累计,并移下一行记入第(4)栏;同级第(3)、(4)栏之和列于第(5)栏;再除以总例数3330,得第(6)栏R值。按式(1)得


表示R值计算无误。

表2 标准组各等级R值的计算

疗 效
等 级
(1)
F
(2)
1/2(2)
(3)
(2)累计
(移下一行)
(4)
(3)+(4)
(5)
R=(5)/N
(6)
无 效
好 转
显 效
760
1870
670
380
935
335
0
760
2630
380
1695
2965
0.114
0.509
0.890
控 制3015330033150.995
N=3330

(2)计算胆麻片组的值,按式(2)得
(3)求对比组总体值的95%可信区间。
简法——按式(9)得


(4)结论。所得95%可信区间不包括0.5,表示按α=0.05水准拒绝H0,接受H1,故认为胆麻片治疗慢性支气管炎的效果优于该中药合剂,因为由表2可知,疗效越好,R越大,本例对比组的大于标准组。
Ridit分析时应注意以下几点:
(1)关于对比组R>0.5或R<0.5的具体含义,应以标准组频数的累计方向而定。如表2第(4)栏的累计方向是“无效→控制”,则最好疗效“控制”的等级之R值必然最大;此时,对比组R>0.5就表示疗效优于标准组; <0.5表示不如标准组。 相反, 标准组若按“控制→无效”的方向累计,则最差疗效“无效”的等级之R值将会最大;此时,对比组R>0.5就表示疗效不如标准组,而R<0.5却表示优于标准组了。
(2)式(3)是当等级数不断增多时方差的最大值,故用式(9)算得之可信区间常略大,因而结论偏于保守。以下是等级数k不同时之最大方差,可见它们逐步逼近极限值1/12。在式(3)中也可以根据下列k的大小取相应的分数代替1/12。

k:23456789
σ2R:1/
16
2/
27
5/
64
2/
25
35/
432
4/
49
21/
256
20/
243
1/12

(3)如果相互比较的两组或几组的例数均不够多,以至难以确定适宜的标准组时,本法效果不佳。而选用不同的标准组将导致检验结果的不同。亦有人以两组或几组合并作为标准组。
☚ 病例随访资料分析的寿命表法   危险度分析 ☛
00013293
随便看

 

离鸟网收录3541549条中英文词条,其功能与新华字典、现代汉语词典、牛津高阶英汉词典等各类中英文词典类似,基本涵盖了全部常用中英文字词句的读音、释义及用法,是语言学习和写作的有利工具。

 

Copyright © 2004-2024 vtrois.com All Rights Reserved
更新时间:2026/5/27 23:42:58