网站首页  词典首页


请输入您要查询的字词:

 

字词
类别 中英文字词句释义及详细解析
释义

è

见208页“二英”。
【注意】不是繁体字“噁(ě)”的简化字。

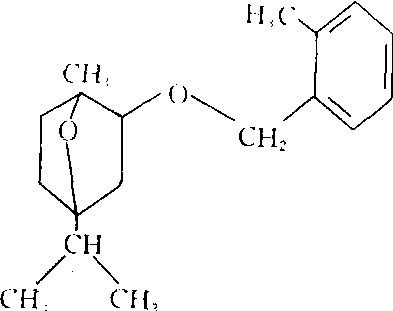
庚草烷cinmethylin

又称仙治、艾割。有机杂环类内吸、选择性除草剂。化学名称:1-甲基-4-(1-甲基乙基)-2-〔(2-甲基苯基)甲氧基〕-7-二环(2,2,1)庚烷。化学结构式如下。原药为琥珀色液体,密度1.014,沸点313±2℃,20℃时蒸气压1013.2×10-5 Pa。微溶于水,可与多种有机溶剂混溶。易光解,pH3~11条件下稳定。可被根部吸收,传导到根及芽的生长点,抑制分生组织的生长,使之死亡。水稻、棉花、花生等的耐药力较强,药剂进入植物体内代谢后成共轭化合物而失去活性。适于水稻、花生、棉花及大豆等作物,防除稗草、野燕麦、鸭舌草、瓜皮草、节节草、碎米莎草、牛筋草、马唐、狗尾草、苋、藜、豚草等一年生杂草。水稻田移栽后5~8天,稗草1.5叶期,棉花、花生、大豆等播后苗前使用,对人、畜低毒,大鼠急性口服LD50为4 500 mg/kg,急性经皮LD50>2 000 mg/kg,急性吸入LC50>3.5 mg/L。对眼、皮肤有刺激性。


霉灵hymexazol

杂环类杀菌剂。化学名称:3-羟基-5甲基异唑。化学结构式如下。原药为白色针状结晶,水中溶解度(25℃)8.5%(W/V),易溶于甲醇、乙醇、丙酮等溶剂中,对酸碱较稳定。土壤处理剂,对腐霉菌、丝囊霉菌、丝核菌在低浓度时即可抑制菌丝生长,但对疫霉属真菌无活性,药剂在植物体内的防病效果优于离体时的作用,这与药剂进入土壤后与铁、铝等金属离子起协同作用有关。兼有植物生长调节作用,能促进根系生长、移栽后新根的形成,使幼苗生长健壮,提高低温冷害的抵抗力。药剂能被植物吸收和转移,在体内的代谢物-O-葡萄糖苷具有与原型相同的抑菌活性,另一代谢物-N-葡萄糖苷则有促进植物生理活性作用,对人畜低毒、小鼠口服急性LD50为1968~2108 mg/kg,对鱼毒性很低。


唑灵fenoxaprop ethyl

又称骠马。 苯氧基类内吸苗后除草剂。由除草活性部分对乙基苯氧丙酸与安全剂复合而成。 有效成分的化学名称:乙基(R)-2-〔4-(6-氯苯并唑-2-基氧)-苯氧基〕丙酸盐。化学结构式如下。有效成分原药为无色、无臭晶体,密度1.3 (20℃),熔点85~87℃,20℃时蒸气压529.29×10-9 Pa。微溶于水,可溶于多数有机溶剂。有效成分可被植物的叶、茎迅速吸收,并输导到叶基和茎、根部的生长点。对乙基苯氧丙酸进入植物体内,迅速转化成苯氧基丙酸的游离酸,抑制脂肪酸的生物合成,使根、茎部生长点细胞膜形成受阻,导致植物死亡。对乙基苯氧丙酸进入小麦体内,在安全剂作用下很快分解成无生物活性的代谢物,从而防止作物受到危害。只适用于小麦、黑麦,可防除看麦娘、野燕麦、早熟禾、虉草、稗、千金子、狗尾草、黍等多种禾本科杂草,对阔叶杂草无效。对人、畜低毒,大鼠急性口服为LD502 090~3 040 mg/kg,急性经皮LD50>2 000 mg/kg。对鸟、鱼低毒,对蜜蜂无毒。


草酮oxadiazon

又称农思它、草灵。有机杂环类内吸、选择性除草剂。化学名称:5-特丁基-3-(2,4-二氯-5-异丙氧苯基)-1,3,4-二唑啉-2-酮。 化学结构式如下。原药为白色无气味不吸水结晶,熔点约90℃,20℃时蒸气压133.322×10-6 Pa。微溶于水,易溶于甲醇、乙醇、环己烷、丙酮、苯、氯仿、二甲苯等有机溶剂。一般贮存条件下稳定性良好。可通过杂草幼芽、幼苗或地上部分吸收,并积累在生长旺盛部位,抑制生长,致使杂草组织腐烂死亡。在有光照条件下才发挥杀草作用。适于水稻、棉花、花生、甘蔗、茶果园及花卉防除稗草、千金子、雀稗、异型莎草、球花碱草、鸭舌草、瓜皮草、节节草、马唐、牛筋草、鳢肠、苋、藜等一年生杂草。原药大鼠急性经口LD50约为8 000 mg/kg,急性经皮LD50约为8 000 mg/kg,急性吸入LC50>200 mg/L。对鱼类中等毒,对鸟类低毒。

随便看

 

离鸟网收录3541549条中英文词条,其功能与新华字典、现代汉语词典、牛津高阶英汉词典等各类中英文词典类似,基本涵盖了全部常用中英文字词句的读音、释义及用法,是语言学习和写作的有利工具。

 

Copyright © 2004-2024 vtrois.com All Rights Reserved
更新时间:2026/4/7 14:04:37