网站首页  词典首页


请输入您要查询的字词:

 

字词 t分布
类别 中英文字词句释义及详细解析
释义

t分布

如果随机变量X~N(0,1),Y~χ2(n),且X与Y相互独立,则随机变量t=的分布称为自由度是n的t分布,记为t(n)。常被应用于测验分数统计中。

t分布t-distribution,Student’s distribution

是数理统计中连续分布之一。t分布曲线是以0为中心的对称钟形曲线,曲线形状随着自由度v或(n-1)的大小而变化,自由度愈小,曲线顶部愈尖细而尾部愈粗宽,随着自由度的增大,t分布逐步逼近正态分布,自由度v=∞时,t分布即呈正态分布。实际工作中可应用t值表查得。

t分布

t分布

t分布是一种连续型分布,主要用于t检验及总体均数的区间估计等问题。W.S. Gosset于1908年以笔名“Student”发表了著名的t分布,开始了小样本研究的新纪元。因而t检验亦称Student t检验。
t为标准正态变量u与

在实际应用时,

式中n为样本含量,为样本均数,μ为总体均数,s为样本标准差。
密度函数及其图形 t分布的密度函数为


-∞式中Γ(v/2)为伽玛(gamma)函数在v/2处的函数值,余仿此,算法见条目“x2分布”。当v已知,就能按式(3)绘出i分布曲线如图1。


图1 不同自由度时的t分布曲线


图1说明,当v增大时,t分布逐渐逼近标准正态分布。t分布的分布函数为

它的几何意义是t分布曲线下从-∞到某给定t值的面积,如图2(α)。
t分布的分位数 当v确定后,t分布曲线下,双侧尾部的面积P(2),或单侧尾部的面积P(1)为指定值α时,横轴上相应的界值t记为tα,v,如图2(b)。这就是t分布的分位数,此值有t界值表(如表)可查。作t检验时,

t分布的分位数表(t界值表)

vP(1):
P(2):
0.250
0.500
0.100
0.200
0.050
0.100
0.025
0.050
0.010
0.020
0.005
0.010
1
2
3
4
5
1.000
0.816
0.765
0.741
0.727
3.078
1.886
1.638
1.533
1.476
6.314
2.920
2.353
2.132
2.015
12.706
4.303
3.182
2.776
2.571
31.821
6.965
4.541
3.747
3.365
63.657
9.925
5.841
4.604
4.032
6
7
8
9
10
0.718
0.711
0.706
0.703
0.700
1.440
1.415
1.397
1.383
1.372
1.943
1.895
1.860
1.833
1.812
2.447
2.365
2.306
2.262
2.228
3.143
2.998
2.896
2.821
2.764
3.707
3.499
3.355
3.250
3.169
11
12
13
14
15
0.697
0.695
0.694
0.692
0.691
1.363
1.356
1.350
1.345
1.341
1.796
1.782
1.771
1.761
1.753
2.201
2.179
2.160
2.145
2.131
2.718
2.681
2.650
2.624
2.602
3.106
3.055
3.012
2.977
2.947
16
17
18
19
20
0.690
0.689
0.688
0.688
0.687
1.337
1.333
1.330
1.328
1.325
1.746
1.740
1.734
1.729
1.725
2.120
2.110
2.101
2.093
2.086
2.583
2.567
2.552
2.539
2.528
2.921
2.898
2.878
2.861
2.845
21
22
23
24
25
0.686
0.686
0.685
0.685
0.684
1.323
1.321
1.319
1.318
1.316
1.721
1.717
1.714
1.711
1.708
2.080
2.074
2.069
2.064
2.060
2.518
2.508
2.500
2.492
2.485
2.831
2.819
2.807
2.797
2.787
26
27
28
29
30
0.684
0.684
0.683
0.683
0.683
1.315
1.314
1.313
1.311
1.310
1.706
1.703
1.701
1.699
1.697
2.056
2.052
2.048
2.045
2.042
2.479
2.473
2.467
2.462
2.457
2.779
2.771
2.763
2.756
2.750

vP(1):
P(2):
0.250
0.500
0.100
0.200
0.050
0.100
0.025
0.050
0.010
0.020
0.005
0.010
31
32
33
34
35
0.682
0.682
0.682
0.682
0.682
1.309
1.309
1.308
1.307
1.306
1.696
1.694
1.692
1.691
1.690
2.040
2.037
2.035
2.032
2.030
2.453
2.449
2.445
2.441
2.438
2.744
2.738
2.733
2.728
2.724
36
37
38
39
40
0.681
0.681
0.681
0.681
0.681
1.306
1.305
1.304
1.304
1.303
1.688
1.687
1.686
1.685
1.684
2.028
2.026
2.024
2.023
2.021
2.434
2.431
2.429
2.426
2.423
2.719
2.715
2.712
2.708
2.704
41
42
43
44
45
0.681
0.680
0.680
0.680
0.680
1.303
1.302
1.302
1.301
1.301
1.683
1.682
1.681
1.680
1.679
2.020
2.018
2.017
2.015
2.014
2.421
2.418
2.416
2.414
2.412
2.701
2.698
2.695
2.692
2.690
46
47
48
49
50
0.680
0.680
0.680
0.680
0.679
1.300
1.300
1.299
1.299
1.299
1.679
1.678
1.677
1.677
1.676
2.013
2.012
2.011
2.010
2.009
2.410
2.408
2.407
2.405
2.403
2.687
2.685
2.682
2.680
2.678
60
80
120
240
0.679
0.678
0.677
0.676
0.674
1.296
1.292
1.289
1.285
1.282
1.671
1.664
1.658
1.651
1.645
2.000
1.990
1.980
1.970
1.960
2.390
2.374
2.358
2.342
2.326
2.660
2.639
2.617
2.596
2.576

摘自 山内二郎:統計数值表,30,JSA-1972
当求得观察样本的统计量t值后,按自由度v可由表查出单侧或双侧P值的大小。


图2 t分布曲线下的面积


用途
(1) t检验。可用于样本均数与总体均数的比较,两样本均数的比较等。适用条件是:当样本含量n较小时,要求样本取自正态总体。作两样本均数比较时,还要求经方差的齐性检验,两总体方差齐。
(2)总体均数的区间估计。
☚ X分布   F分布 ☛

t分布tdistribution

亦称“学生分布”。统计推断的一种方法。在统计推断时,推断平均数一般都要用到总体方差,而多数情况下总体方差系未知数,须用样本方差代替,这就会导入误差,尤其在小样本时,误差有时会影响到必要的精确度。要克服此缺陷,须在计算公式中避免使用总体方差。1908年英国统计学家W.S.戈塞特以笔名“student”提出了t分布,该分布属于小样本的样本分配。当总体的σ2未知,抽取的样本个案数小于30时,其样本分配有特殊形式,称为t分布。特点为:对称、形态类似于正态曲线。t=0时对称,当n很大时,t分布近似于正态分布n (0,1)。在t分布中,表示其扩展程度的差异量数一般用标准误。用小样本组成的样本分布中,每个样本所处的位置用t值表示:t=(X-μ)/SE。t分布用于:(1)做总体平均数的估计; (2)做样本平均数与总体平均数差异显著性检验; (3)两个样本平均数差异的显著性检验;(4)平均量差异的估计。

t分布

t分布student's "t" distribution

亦称“学生分布”。在统计推断时,推断平均数一般都要用到总体方差,而多数情况下总体方差系未知数,须用样本方差代替,这就会导入一定的误差,尤其在小样本时,误差有时会影响到必要的精确度。为克服此缺陷,必须在计算公式中避免运用总体方差。考虑及此, 英国统计学家戈塞特(Gosset, W.S.)用“Student”为笔名提出了著名的t分布。t分布属于小样本的样本分配。当总体的σ2未知,抽取的又是小样本, 即个案数目小于 30时,其样本分配具有特殊的形式,统计学上称之为t分布。t分布为对称分布,形态类似于正态曲线。但t分布曲线两端较正态曲线为凸起。以t=0对称。当n很大时,t分布近似于正态分布n (0,1)。在t分布中,表示其扩展程度的差异量数一般用标准误差,亦为标准误。用小样本组成的样本分布中,每个样本所处的位置用r值表示:


t分布的应用很广泛,主要有:(1)可用作总体平均数的估计。(2)可用作样本平均数与总体平均数差异显著性检验。(3)可用于两个样本平均数差异的显著性检验。(4)可用于平均量差异的估计。
☚ F检验   t检验 ☛
t分布

t分布t-distribution

亦称“学生分布”。抽样分布的一种。英国统计学家戈塞特(William Sealy Gosset, 1876—1937)通过对大量数据的分析,以“学生分布”名义发表。左右对称,峰态比较高狭,分布形状随样本容量n-1的变化而变化,最终趋近于正态分布。推论统计发展里程碑之一,为小样本研究提供了理论依据。若总体服从

正态分布,则样本平均数服从t分布。其密度函数曲线图如下:
☚ 卡方分布   F分布 ☛
t分布

t分布

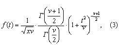
亦称“学生分布”。英国统计学家戈塞特(William Sealy Gosset, 1896—1937)通过对大量数据的分析,以“学生”名义所发表的一种左右对称,峰态比较高狭,分布形状随样本容量n-1的变化而变化的概率分布。推论统计发展里程碑之一。其概率密度函数为:

其中n称为t分布的自由度,Γ(·)为伽马函数。
☚ 偏态分布   F分布 ☛
00000888
随便看

 

离鸟网收录3541549条中英文词条,其功能与新华字典、现代汉语词典、牛津高阶英汉词典等各类中英文词典类似,基本涵盖了全部常用中英文字词句的读音、释义及用法,是语言学习和写作的有利工具。

 

Copyright © 2004-2024 vtrois.com All Rights Reserved
更新时间:2026/4/8 11:21:10