网站首页  词典首页


请输入您要查询的字词:

 

字词 weibull分布
类别 中英文字词句释义及详细解析
释义
Weibull分布

Weibull分布

Weibull分布(瑞典W. Weibull与S. Weden,1951)是一种连续型分布,近年来它在医药科研中有较广泛的应用。
密度函数及其图形 Weibull分布的密度函数为

式中有三个参数: m为形状参数,b为尺度参数,α为位置参数。当这三个参数已知时,就能画出其分布曲线如图1。


(α) m=2,α=0,b值不同


图1 Weibull分布曲线


当m=1时,式(1)成为指数分布,其密度函数为


Weibull分布的分布函数为


其图形有如图2。


图2 Weibull分布函数的图形


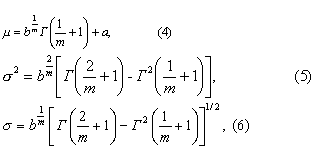
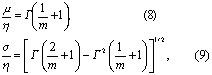
均数μ与方差σ2按式(4)与式(5)计算:


当α=0时,由上式可见:μ和σ都与b1/m成正比。


η称为特征数。于是


而式(3)可简写成


Weibull概率纸
设α=0,将式(3)移项后取对数,有


变号后再取对数有


作变量变换。令


则上式成为

这样,Weibull分布函数 F(X)的图形(图2)就转化成直线了。由上述变量变换中的函数尺所制成的坐标纸称为Weibull概率纸(图3)。图中的t=X,t0=b,这是因为在实际应用时x常表示时间t。
用途 当m=1时,Weibull分布成为指数分布; 当m=3.5时,它又很近似正态分布。正是由于m可以不同,使这一分布有着较广泛的应用。如用于药物释放度和稳定性,肿瘤患者存活期等的研究。当判定资料服从Weibull分布时,即可对其参数以及均数、标准差作出估计(均可在Weibull概率纸上用图估法来完成),进而阐明资料的内在规律。
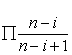
资料是否服从Weibull分布的判定:如果所给数据是时间t及其对应的累计频率F(t) (简记为F),则可按(ti,Fi)在Weibull概率纸上描点。当试验数据超出纸上t尺范围,或为了使散点图直线化,可将t作适当变换,如例1。若散点呈直线趋势,则可认为资料服从Weibull分布;如果所给数据仅有时间t而无对应的F,则先将t值由小到大编上秩次i,然后按式(12)求相应的累计频率Fi,

式中n为样本含量,∏为求积的符号。如例2。
参数图估法: 只有散点(ti,Fi)呈直线趋势,才能进一步利用Weibull概率纸估计参数以及μ和σ。
(1) α的估计。 若散点(ti,Fi)呈直线趋势, 则â=0;若散点呈曲线趋势,则顺势延伸,使之与t轴相交,交点的读数即为α的初估值,再经反复校正,使[(ti-â), Fi]各点呈直线趋势,才算得到满意结果。以目测法拟合直线时,应尽可能照顾Fi为30~70%的各点。
(2) m的估计。过图上的m点,作直线平行于拟合的直线l,交Y轴于M,它在y尺上投影点的读数之绝对值即为
(3) b的估计。直线l与X轴的交点在t尺上投影点之读数为,由式(7),η=b1/m,故
(4) μ与σ的估计。 当求得后,若0.2≤≤1.5时,则由图上端的m尺上,找到,另两个函数尺上与对应处, 即为所求μ/η及σ/η的估计值。 代入值,即可求得。若m>1.5时,则由图右侧的函数尺估计之。
例1 用转动法测得某厂生产的糖衣四环素片在不同时间的累计溶解百分数如表1第(1)、(4)行。问此资料可否用Wei-bull分布说明其溶解规律?


Weibull概率纸及例1资料的参数图估


表1 糖衣四环素片在不同时间的溶解百分数

t(分),(1)
t′,(2)
t*,(3)
%,F,(4)
20
2.0
0.4
4.6
25
2.5
0.9
11
30
3.0
1.4
19
35
3.5
1.9
22
40
4.0
2.4
27
50
5.0
3.4
31
60
6.0
4.4
42
90
9.0
7.4
59
120
12.0
10.4
72
180
18.0
16.4
86

t′=10-1t; t*=t′-1.6。
Weibull概率纸t轴坐标的范围为0.1~100,本例的t值超出100,因此,作t′ =10-1t变换。以(t′i,Fi)描点(如图3中“·”点),得曲线c。顺势延长之,与t尺相交于1.6附近, 得â′=1.6。再作变换t*= t′-1.6。又以(ti*,Fi)描点(如图3中“o”点)。散点呈直线趋势,可认为资料服从Weibull分布,凭目测拟合直线l。
求α。既然散点-(t′-1.6, Fi)呈直线趋势, 则â′= 1.6, â=1.6×10=16。
求m。过图上m点作平行于l的直线,交Y轴于M,由M在y尺上的投影点,得||=1.03。
求b。 由l与X轴的交点在t尺上的投影点,得' = 8.0。则


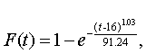
按式(3)得糖衣四环素片不同时间溶解百分数的经验公式为


式中â=16分钟,说明该片要16分钟后才开始溶解。
令式中F(t)=0.5,解之, t= 72 (分钟), 说明其半溶为72分钟。若由图3估计,则得
=(5.5+ 1.6)×10=71(分钟)。
例2 用某方案治疗16例急粒白血病患者,分别得复发前完全缓解的维持天数(属完全数据)与总结时尚未复发并已维持的天数(属不完全数据,其终检值后附有“+”)如表2第(2)栏,试探讨其复发率的规律。

表2 16例急粒白血病患者治后缓解率的计算

秩次
i
(1)
观察天
数,t
(2)
复 发
例 数
(3)
期初
病例数
(4)
复发率
(5)
累计
缓解率
(6)
累计复发率
F(%)
(7)=1-(6)
1
2
26
43
1
1
16
15
1/16
1/15
0.9375
0.8750
6.25
12.50
3
4
76
76
2142/140.750025.00
5
6
7
90
105
117
1
1
1
12
11
10
1/12
1/11
1/10
0.6875
0.6250
0.5625
31.25
37.50
43.75
8128+900.562543.75
9
10
11
144
185
218+
1
1
8
7
6
1/8
1/7
0
0.4922
0.4219
0.4219
50.78
57.81
57.81
12
13
250
283
1
1
5
4
1/5
1/4
0.3375
0.2531
66.25
74.69
14333+300.253174.69
15
16
389
497
1
1
2
1
1/2
1/1
0.1266
0.0000
87.34
100.00

本资料仅有时间t而无F,故需求Fo先将观察天数由小到大排列,见表2第(2)栏,并编上秩次i,见第(1)栏,第(4)栏即各时点开始时的病例数,第(3)栏是维持i天后复发例数,第(5)栏是相应的复发率,第(6)栏是累计缓解率,由式 (12) 中的


计算而得。如i=1时,

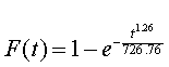
等等。第 (7)栏是按式(12)计算的,即 [1-(6)栏](100%),如(1-0.9375)(100%)=6.25%,余类推。因有t>100,故作t′=10-1t变换,以(ti,Fi)描点于Weibull概率纸上,如图4。散点呈直线趋势,可认为资料服从Weibull分布。以目测法画直线l。 用图估法,得â=0,=1.23, ′=21.2,=212, =(212)1.23=726.76。于是得用本方案治疗白血病在不同时间的复发率的经验公式为


图4 急粒白血病患者治疗后不同时间的复发率


由图4可估计得本方案治疗急粒白血病在各时间的复发率与未发率如下:

治疗后天数
复发率(%)
未复发率(%)
93
30
70
160
50
50
200
60
40
300
78
22
☚ 对数正态分布   自由度 ☛
00013167
随便看

 

离鸟网收录3541549条中英文词条,其功能与新华字典、现代汉语词典、牛津高阶英汉词典等各类中英文词典类似,基本涵盖了全部常用中英文字词句的读音、释义及用法,是语言学习和写作的有利工具。

 

Copyright © 2004-2024 vtrois.com All Rights Reserved
更新时间:2026/4/7 21:46:52