网站首页  词典首页


请输入您要查询的字词:

 

字词 x分布
类别 中英文字词句释义及详细解析
释义
X分布

X2分布

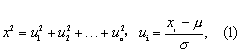
x2分布是一种连续型分布,可用于检验资料的实际频数和按检验假设计算的理论频数是否相符等问题。早在1875年,F. Helmet即得出来自正态总体的样本方差的分布服从x2分布。嗣后,1900年K. Pearson又独立地从检验分布的拟合优度重又发现这一相同的x2分布。v个相互独立的标准正态变量ui(i=1,2,…,v)的平方之和称为x2变量,即


它的分布即为x2分布,其自由度为v。式中Xi为服从正态分布的变量,μ为总体均数,σ为总体标准差。
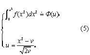
在实际应用时,资料中k个实际频数Ai与相应的理论频数Ti之间差别的大小,可用式(2)表示。如果样本含量n足够大,比如说,大于40,且各Ti都大于5,则式(2)近似于x2分布。n愈大,近似程度愈好。


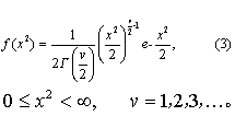
密度函数及其图形 x2分布的密度函数为

是伽玛(gamma)函数在v/2处的函数值。当v为正整数时,可按下法求之:
这样,已知v时,就能按式(3)绘出x2分布曲线,如图1。


图1 不同自由度时的x2分布曲线


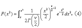
x2分布的分布函数为


它的几何意义是x2分布曲线下从0到某给定x2值的面积,如图2(α)。
x2分布的分位数 当v确定后,x2分布曲线下右侧尾部的面积P为指定值α时,横轴上相应的界值x2,记作xα,v2,如图2(b),这就是x2分布的分位数,此值有x2


图2 x2分布曲线下的面积

界值表(如表)可查。作x2检验时,先求得观察样本的统计量x2值,然后按v由表查得P值的大小。
x2分布与正态分布的关系:
(1) 从图1可见,当v逐渐增大时,x2曲线逼近于正态曲线,这时它们的分布函数有如下关系:


式中的自由度v恰好等于x2分布的均数,2v等于它的方差。
(2) 当v=1时,由式(1)可知,x2变量等于标准正态变量的平方,因此,Xα,1 2等于标准正态分布的双侧分位数uα之平方。例如u0.05 =1.96,而x0.05,12 = 3.84 =(1.96)2=u0.052。
用途
(1)直接应用: 用于检验某一分布的实际频数与理论频数是否符合;某些统计量的分布可用x2分布作近似处理,如各组含量不小于5,且组数不小于3时,秩和检验

x2分布的分位数表(x2界值表)


vP
0.9950.9750.9500.5000.0500.0250.0100.005
10.453.845.026.637.88
2
3
4
5
0.01
0.07
0.21
0.41
0.05
0.22
0.48
0.83
0.10
0.35
0.71
1.15
1.39
2.37
3.36
4.35
5.99
7.81
9.49
11.07
7.38
9.35
11.14
12.83
9.21
11.34
13.28
15.09
10.60
12.84
14.86
16.75
6
7
8
9
10
0.68
0.99
1.34
1.73
2.16
1.24
1.69
2.18
2.70
3.25
1.64
2.17
2.73
3.33
3.94
5.35
6.35
7.34
8.34
9.34
12.59
14.07
15.51
16.92
18.31
14.45
16.01
17.53
19.02
20.48
16.81
18.48
20.09
21.67
23.21
18.55
20.28
21.95
23.59
25.19
11
12
13
14
15
2.60
3.07
3.57
4.07
4.60
3.82
4.40
5.01
5.63
6.26
4.57
5.23
5.89
6.57
7.26
10.34
11.34
12.34
13.34
14.34
19.68
21.03
22.36
23.68
25.00
21.92
23.34
24.74
26.12
27.49
24.72
26.22
27.69
29.14
30.58
26.76
28.30
29.82
31.32
32.80
16
17
18
19
20
5.14
5.70
6.26
6.84
7.43
6.91
7.56
8.23
8.91
9.59
7.96
8.67
9.39
10.12
10.85
15.34
16.34
17.34
18.34
19.34
26.30
27.59
28.87
30.14
31.41
28.85
30.19
31.53
32.85
34.17
32.00
33.41
34.81
36.19
37.57
34.27
35.72
37.16
38.58
40.00
21
22
23
24
25
8.03
8.64
9.26
9.89
10.52
10.28
10.98
11.69
12.40
13.12
11.59
12.34
13.09
13.85
14.61
20.34
21.34
22.34
23.34
24.34
32.67
33.92
35.17
36.42
37.65
35.48
36.78
38.08
39.36
40.65
38.93
40.29
41.64
42.98
44.31
41.40
42.80
44.18
45.56
46.93
26
27
28
29
30
11.16
11.81
12.46
13.12
13.79
13.84
14.57
15.31
16.05
16.79
15.38
16.15
16.93
17.71
18.49
25.34
26.34
27.34
28.34
29.34
38.89
40.11
41.34
42.56
43.77
41.92
43.19
44.46
45.72
46.98
45.64
46.93
48.28
49.59
50.89
48.29
49.64
50.99
52.34
53.67

摘自 山内二郎:统计数值表,6~7,JSA-1972
统计量H的分布可近似地用x2分布来代替; 正态总体方差的区间估计等。
(2) 间接应用: 如t分布和F分布就是在x2分布的基础上推导出来的。
☚ 自由度   t分布 ☛
00013169
随便看

 

离鸟网收录3541549条中英文词条,其功能与新华字典、现代汉语词典、牛津高阶英汉词典等各类中英文词典类似,基本涵盖了全部常用中英文字词句的读音、释义及用法,是语言学习和写作的有利工具。

 

Copyright © 2004-2024 vtrois.com All Rights Reserved
更新时间:2026/5/25 19:35:44