网站首页  词典首页


请输入您要查询的字词:

 

字词 x线造影剂
类别 中英文字词句释义及详细解析
释义

X线造影剂X-ray radiopaque medium

系用于X线造影时改变对比度的试剂。有些器官对比度不明显,或有些疾病的病变与正常组织间难鉴别需借助外加对比条件方可清晰观察病变,故用造影剂。造影剂可比正常组织密度高如钡类、碘类造影剂等,亦可比正常组织密度低如某些气体等,但均为无菌制品可应用于呼吸道、消化道、泌尿生殖道、胆胰管及某些腔隙等的造影。

X线造影剂X-ray radiopaque medium

亦称对比剂。是一种密度高于或低于软组织的物质,使其对X线的吸收能力与周围软组织器官产生区别,造成人工对比,供X线诊断用。按组成元素可分为钡造影剂、碘造影剂和气体造影剂。

X线造影剂

X线造影剂

X线造影剂是利用X线易透过或不易透过的性质作为对比,使被检部位显影的药物。目前临床上使用的造影剂,分为阴性造影剂(显影密度低于人体软组织)和阳性造影剂(显影密度高于人体软组织)两类。阴性造影剂有空气、二氧化碳及氧气等。阳性造影剂除硫酸钡外,几乎均为碘化物和有机碘化合物。碘化钠最早应用于泌尿系统造影。有机碘化合物中的碘碳键相当稳固,不易形成碘离子,对人体几无生理作用。X线造影剂在机体某些器官或组织中经吸收和适当集中后,达到一定浓度时,能吸收X线,可供造影之用。它们可分为水溶性和油溶性两种,根据化学类型不同,前者可分为酞类、有机酸类、磺酸类和吡啶酮类; 后者主要为碘化油类。理想的造影剂应具备下列要求:显影清晰;无毒性、无不良反应;易于吸收和排泄;理化性质稳定,能久贮不变质;使用简便;制造方便,价格低廉。现将常用X线造影剂分述于下:
硫酸钡(barium sulfate)分子式为BaSO4,在自然界中有硫酸钡存在,称为重晶石,含可溶性钡盐、毒性大,且其粉末在水中的分散度不大,不合药用要求。药用的需用沉淀法制备,以可溶性钡盐和硫酸盐或硫酸反应而得。本品为白色细粉,无臭、无味;不溶于水、有机溶剂及酸碱性水溶液。
由于本品在消化道内不被吸收,且不被X线穿过,用于食道与胃肠道的X线造影检查,一般可以不同浓度和不同粘度的混悬剂形式口服或灌肠,可使胃肠系统全部或部分显影。近年来通过实验研究,应用超微粒硫酸钡作双重造影,用于胃癌的早期诊断,以及食道、肠道的造影,较普通钡剂为优。本品用于食道造影,口服剂量视病情而定;胃肠道造影口服剂量200g(加水400ml调匀备用);灌肠用量200g(加水1000ml调匀备用)。
本品服后不被胃肠道吸收,仍以原物离开肠道。一般无毒性,无过敏反应。但对急性胃肠道穿孔、急性胃及小肠出血、结肠梗阻等患者忌服。食道大量出血或破裂者,不能用钡糊检查。结肠穿孔患者忌用本品灌肠。
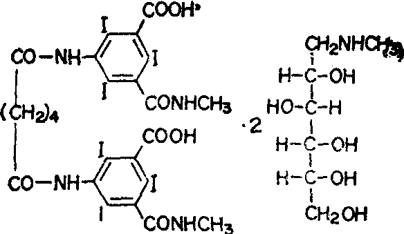
泛影葡胺(meglumine diatrizoate) 本品系化学合成的白色粉末,无臭,稍有甜味,极易溶于水。是一种毒性极小的有机碘造影剂,常用于泌尿系统的造影检查,对肾脏显影清晰。也可用于心血管和脑血管等造影。用于泌尿系统造影,由肘前静脉注射;周围血管造影,由腿骨或锁骨下动脉注射;脑血管造影,由颈动脉注射(注入颅内血管)。


本品使用后可引起恶心、呕吐、流涎、出汗、皮肤过敏、灼热及眩晕,严重的可发生喉痉挛、哮喘、惊厥等反应。本品对肝、肾功能严重减退、甲状腺功能亢进,肺结核患者忌用或慎用。使用前必须先作有机碘过敏试验。
碘化油(iodized oil) 本品为植物油与碘结合的有机碘化合物,是一种无色或淡黄色粘稠澄明液体,微有蒜臭; 不溶于水,溶于醚及氯仿等。本品中含有机碘37~41%,具有阻滞X线的作用。可用于支气管、子宫、输卵管、腮腺管及其他腔道的造影。
本品进入胃肠道,被碱性肠液分解而析出游离碘,此游离碘被吸收后经肾排出。造影后残留的碘化油分解吸收极缓慢,一般不引起严重刺激及毒性反应,但使用后可产生轻微呛咳、不适、厌食、头痛及微热等,数小时后即自行消退。肺结核、支气管急性炎症期、甲状腺功能亢进、心肾功能严重减退、发热及对碘过敏者忌用。使用前应先做碘过敏试验。本品在空气中或日光下即缓缓分解,析出游离碘而变成棕色,变色后即不能再用。故应避光、密闭贮存。
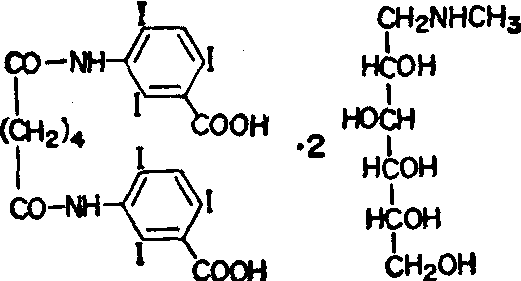
胆影葡胺(meglumine iodipamide) 为微黄色结晶性粉末,易溶于水。静脉注射,用于胆囊胆道造影。不良反应有流涎、恶心、呕吐、心慌、眩晕、荨麻疹、血管痉挛及臂痛等。肝肾功能严重减退、甲状腺功能亢进、对碘过敏者及巨球蛋白血症者忌用;黄疸患者应慎用。注射前应先做碘过敏试验。注射时速度须缓慢(约10分钟注完)。


碘苯酯(iophendylate) 为淡黄色油状液体,比重1.245~1.260。不溶于水,易溶于乙醇、苯、氯仿及醚。用于椎管造影及阳性对比的脑室造影。不良反应有头痛、背痛、体温升高及暂时性下肢疼痛等。脑及脊髓膜急性炎症、伴有体温升高的脑脊液中有大量血液患者,对碘过敏者忌用。使用前应先做碘过敏试验。


乙碘油(ethiodized oil) 本品为得自罂粟仁油的酯肪酸乙酯与碘的结合物,是一种草黄色或棕褐色油状液体,略有臭,不溶于水。可用于淋巴管、子宫、输卵管及各种窦穴的造影。淋巴管造影,局部单侧或双侧同时注射。不良反应有体温升高、胸闷、气急、恶心及呕吐等。严重肺功能障碍患者及对碘过敏者忌用。使用前应先做碘过敏试验。
胆影脒酸(ipodate) 本品为结晶,不溶于水,易溶于甲醇、乙醇、氯仿及丙酮等。用于胆囊造影,口服总量6g,(于造影前一日晚上服3g,每间隔2~5分钟服0.5g;另于次日造影前2~3小时服3g);胆道造影,口服总量3~6g(于造影当天清晨服,每间隔2~5分钟钠盐。不良反应有恶心、呕吐、腹痛、腹泻、头痛及暂时性便秘等。严重肝肾功能不全及对碘过敏者忌用。甲状腺功能亢进患者应慎用。
甲替三酰胺(metrizamide)为白色结晶性粉末,无臭,味苦,可溶于水。主要用于腰、颈、胸部脊髓、脑室、脑池造影,也可用于心血管、关节腔内造影。脊髓造影,用静脉注射。不良反应有头痛、恶心、发热、背颈强直及腰痛等。使用后经检查血压、脉搏、脑电图等,无其他严重副作用,也无痉挛。本品一般在使用时新鲜配制,根据需要可配成不同浓度: 含碘370mg/ml,粘度为15.7;含碘300mg/ml,粘度为6.24; 含碘280mg/ml,粘度为5.01。


碘番酸(iopanoic acid) 为白色或奶色粉末,无臭,无味。不溶于水,溶于乙醇及碱溶液。用于胆囊造影,口服总量3g (于造影前一日晚上服,每间隔5分钟服0.5g)。不良反应偶有恶心、腹泻及排尿困难。急性肾炎、尿毒症、急性胃肠道功能失调等患者忌用。本品对肝功能严重减退患者不能显影,故不宜使用。


碘马尿酸钠(O-iodohippurate sodium) 为白色结晶性粉末,有微臭及皂味;易溶于水,溶于乙醇及稀氢氧化碱溶液。用于排泄性尿路造影静脉注射或口服(溶于糖浆内)。此外,本品还可用于逆行肾盂膀胱造影。不良反应有发热、潮红、恶心、呕吐及皮疹等。肾炎、尿毒症、甲状腺功能亢进、结核病及严重肝脏病等患者忌用。


异泛影钠 (sodium iothalamate) 本品易溶于水。用于静脉肾盂尿路造影,静脉注射80%溶液20ml;用于血管心脏造影及肺血管造影,均为静脉注射。此外,本品还可用于经脾门脉造影、腹部大动脉造影、精囊腺造影及胰动脉造影等。不良反应有灼热、恶心、呕吐、口干、头痛、咳嗽、颜面潮红、暂时性脉搏过速、皮疹及排尿困难等。肝障碍及严重肾病患者、对碘过敏者忌用。高血压、动脉硬化及有变应性反应的患者应慎用。


甲基泛影钠(sodium metrizoate) 本品易溶于水。静脉注射,用于排泄及逆行性肾盂造影。不良反应有恶心、呕吐、头痛、荨麻疹及血管痛等。严重肝、肾功能损害患者及对碘过敏者忌用。


碘卡明葡胺(meglumine iocarmate) 本品易溶于水。在腰脊髓内注射,用于腰脊髓造影,使用后毒性虽小,但须注意避免过量造影剂进入颅内,颈、胸段的蛛网膜下腔。本品忌与任何其他药物配合使用。


三碘三酰苯(iohexol) 又名omnipaque。本品为具有多用途的非离子型造影剂,含碘量46.4%,可溶于水。药理学研究表明本品毒性较低,全身和局部耐忍性较好,对人血浆蛋白的结合率,对溶菌酶和乙酰胆碱酯酶活性的抑制,组胺释放,血管内皮细胞的损伤,人红细胞的影响,以及对心、肺、肾和中枢神经系统的功能影响,均比常用造影剂为低。动脉给药可用于外周动脉造影、肾动脉造影、内脏动脉造影、心血管造影和大脑血管造影。静脉给药可用于静脉造影、尿道造影、造影增强CT扫描、脊髓造影等。

☚ 诊断用酶试剂   器官功能诊断药 ☛
00005720
随便看

 

离鸟网收录3541549条中英文词条,其功能与新华字典、现代汉语词典、牛津高阶英汉词典等各类中英文词典类似,基本涵盖了全部常用中英文字词句的读音、释义及用法,是语言学习和写作的有利工具。

 

Copyright © 2004-2024 vtrois.com All Rights Reserved
更新时间:2026/5/25 13:02:02