一元方程根的几何意义yiyuan fangcheng gen dejihe yiyi
函数y=f(x)在直角坐标平面上的图象是一条曲线(图1).

图1
当曲线y=f(x)与x轴相交时,交点的横坐标就是一元方程f(x)=0的实数根.

图2
当曲线y=f(x)与x轴没有交点时,一元方程f(x)=0没有实数根.
例如,函数y=ax+b(a≠0)的图象是一条直线(图2).一元一次方程ax+b=0(a≠0)的根x=-b/a就是直线y=ax+b与x轴交点(-b/a,0)的横坐标.
又如,函数y=ax
2+bx+c(a≠0)的图象是抛物线.一元二次方程ax
2+bx+c=0的根就是抛物线与x轴交点的横坐标.
若判别式△=b
2-4ac>0,则方程有两个实数根x
12=(-b±

)/2a,此时抛物线y=ax
2+bx+c与x轴有两个交点((-b+

)/2a,0)


图3
若判别式△
=b2-4ac=0,则方程有两个实数根x1,
2=-b/2a,此时抛物线y=ax
2+bx+c与x轴相切于顶点(-b/2a,0)(图4).

图4
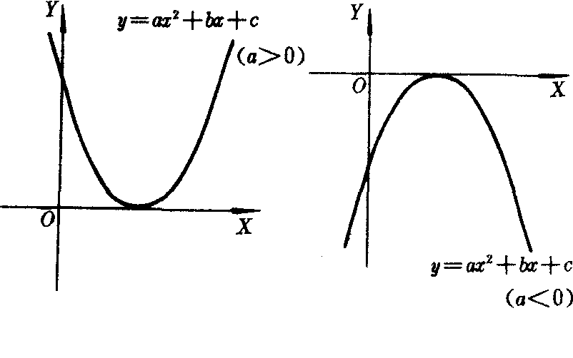
若判别式△=b
2-4ac<0,则方程没有实数根,此时抛物线y=ax
2+bx+c与x轴没有公共点(图5).

图5