网站首页  词典首页


请输入您要查询的字词:

 

字词 一元线性回归
类别 中英文字词句释义及详细解析
释义
一元线性回归

一元线性回归yiyuan xianxing huigui

一元线性回归是工程上和科研中常常遇到的配直线问题,即两个变量X和Y有一定的线性关系,通过试验,利用得到的数据找出两者之间的经验公式。


为了寻求变量X和Y之间的关系,我们对 (X,Y)作n次独立观察,获得n对观察值(xi ,yi)(i=1,2,…,n),再以它们为坐标,在坐标平面上描出n个观察点,如果这n个观察点分布在一条直线近旁(如图),则这条直线即可代表x与y之间的关系.下面利用最小二乘法来求此直线的方程。
设直线的方程为

=a +bX

则观察点 (xi,yi)与直线上对应于相同横坐标的点(xi, i) 之间的偏差为

表示n个观察点关于直线的总偏差,使总偏差Q最小的直线叫回归直线。
求回归直线的方程=a+bx,并归结为求a, b使Q达到最小值。
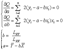
求Q关于a与b的偏导数,并令它等于零得

其中

所求的回归直线方程为

Y=a +bX。


注意,只有当两个变量之间确实存在线性统计关系时,求出的回归直线方程才有意义。
☚ 最小二乘法   微积分 ☛
一元线性回归

一元线性回归

因变量y与一个自变量x之间有线性关系, 其关系式为ŷ=b0+b1x, b0为直线截距,b1为斜率,即回归系数。根据样本资料,用最小二乘法去估计b0和b1,有正规方程组:

解联立方程组,得:

从而确定一元线性回归方程。从样本资料得出的方程能否用作总体方程的估计,需要对截距和回归系数进行检验。通过检验后,就可以根据给定的x值去推算或预测y值。
☚ 非线性回归   多元线性回归 ☛
00006715
随便看

 

离鸟网收录3541549条中英文词条,其功能与新华字典、现代汉语词典、牛津高阶英汉词典等各类中英文词典类似,基本涵盖了全部常用中英文字词句的读音、释义及用法,是语言学习和写作的有利工具。

 

Copyright © 2004-2024 vtrois.com All Rights Reserved
更新时间:2026/4/9 2:09:28