| 释义 |
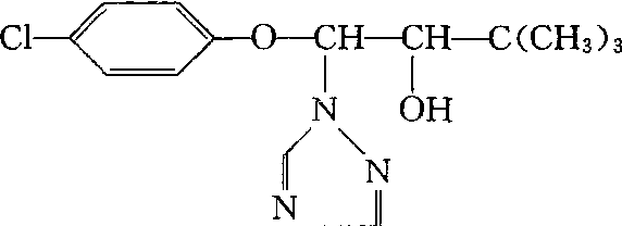
三唑醇triadimenol又称羟锈宁。杂环类杀菌剂。化学名称:1-(4-氯苯氧基)-3,3-二甲基-1-(1,2,4-三唑-1-基)-2-丁醇。化学结构式如下。原药无色结晶,具微臭味,微溶于水,溶于甲苯(10~30 g/L),对光热稳定,在pH3~10的条件下,有效成分16个月内无分解,在正常贮存条件下两年以上不变质。由德国拜耳公司生产开发。内吸性杀菌剂,杀菌谱,防治范围除与三唑酮相同外,还能用于防治玉米、高粱丝黑穗病和小麦全蚀病。主要作种子处理剂,但用量较三唑酮低。由于具有挥发性,三唑酮和三唑醇都具有一定的气渗作用,对植物安全,但也需注意它对幼苗生长的影响。对人畜低毒,对大鼠急性口服LD50为700~1000 mg/kg,经皮>5000 mg/kg,对鱼低毒,对蜜蜂无害。 
|