网站首页  词典首页


请输入您要查询的字词:

 

字词 三磷酸腺苷
类别 中英文字词句释义及详细解析
释义
三磷酸腺苷

三磷酸腺苷ATPsanlinsuan xiangan

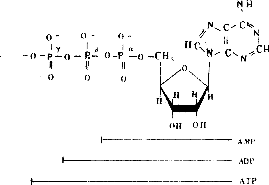
又称腺苷三磷酸,是腺苷酸(AMP)的磷酸衍生物。腺苷酸的末端磷酸基再连结一个磷酸基为二磷酸腺苷(ADP),ADP再连结一个磷酸基为三磷酸腺苷。ATP是生物体内重要的高能磷酸化合物,每摩尔ATP水解生成ADP和Pi(无机磷酸)时可释放自由能7.3千卡(30.5千焦尔);它是能量代谢的中心物质。所谓自由能是在恒温恒压下可以作功的能。复杂的营养物分子含有较多的自由能。葡萄糖和细胞的其他能源物质在氧化分解时释放自由能,其中大部分以ATP的形式保留,少部分以热能的形式散失。以ATP形式保留的自由能可用于作功,如肌肉收缩(机械功)和生物合成(化学功)。热能虽然可以维持高等动物的体温,但不能作功。因为这种形式的能只有从较热的物体流向较冷的物体时,才可在恒压下作功,这在活细胞中是不可能的。细胞是等温的,即其各部分的温度均相同。以ATP形式保留的化学能,可作4种类型的功。一是能提供生物合成所需的化学功。在此过程中,ATP的末端磷酸基酶促转移到各种结构单元中,使之成为活化的前体物质并准备组装成生物大分子,二是细胞运动和收缩的能源。三是使营养物穿过膜从浓度低的部位移向浓度高的部位。四是在DNA、RNA和蛋白质的合成过程中,保证遗传信息的精确转移。ATP的化学能用于细胞作功的任何时候,都丢失其末端磷酸基,使之变成无机磷酸(Pi),遗留下ADP(有时是AMP)。在与细胞能源物质分解产能过程的偶联中,ADP又和Pi再生成ATP。这样,在细胞的“能循环”中,ATP是联系产能和需能过程的桥梁。


图520 腺苷酸及其磷酸化合物(pH7)
(箭头表示ATP水解生成ADP时的断裂点)

☚ 氧化磷酸化   磷酸肌酸 ☛

三磷酸腺苷adenosinetriphosphate, ATP

又叫三磷酸腺甙、三磷腺苷、腺三磷,系一种辅酶。参于机体蛋白质、脂肪、糖、核酸、核苷酸等代谢,又是机体能量的主要来源。临床可用于重要器官细胞损伤后细胞酶减退引起的疾病,如心肌梗塞、心肌炎、心力衰竭、脑动脉硬化、冠状动脉硬化、脊髓灰质炎。本品每支2ml含20mg;粉剂每支含20mg并附磷酸缓冲液2ml,有效期1年。用法:肌注或静注1日1~3次,1次20mg;也可与辅酶A等组成合剂。脑出血初期忌用;静注应缓慢,免引起低血压与眩晕;疗效尚不确切,忌滥用;置低温干燥处保存。

三磷酸腺苷

简称“ATP”。腺苷5’上经三次磷酸化,形成磷酸酯高能化合物。其第二和第三个磷酸键为高能键,在很多生物化学系统中起作用。它被水解为腺苷酸(AMP)及焦磷酸,或是二磷酸腺苷(ADP)及无机磷酸。在此水解反应中释放出大量自由能,用于各种代谢反应。

随便看

 

离鸟网收录3541549条中英文词条,其功能与新华字典、现代汉语词典、牛津高阶英汉词典等各类中英文词典类似,基本涵盖了全部常用中英文字词句的读音、释义及用法,是语言学习和写作的有利工具。

 

Copyright © 2004-2024 vtrois.com All Rights Reserved
更新时间:2026/4/8 19:23:49