网站首页  词典首页


请输入您要查询的字词:

 

字词 三线共点的条件
类别 中英文字词句释义及详细解析
释义
三线共点的条件

三线共点的条件sanxian gongdian de tiaojian

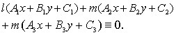
互不平行的三直线Aix+Biy+Ci=0 (i=1,2,3)共点的充要条件之一是


充要条件之二是:存在不全为零的实数l,m,n,使得

☚ 两直线的交点   三点共线的条件 ☛
00013130
随便看

 

离鸟网收录3541549条中英文词条,其功能与新华字典、现代汉语词典、牛津高阶英汉词典等各类中英文词典类似,基本涵盖了全部常用中英文字词句的读音、释义及用法,是语言学习和写作的有利工具。

 

Copyright © 2004-2024 vtrois.com All Rights Reserved
更新时间:2026/4/8 23:12:46