网站首页  词典首页


请输入您要查询的字词:

 

字词 三聚氰胺树脂胶粘剂
类别 中英文字词句释义及详细解析
释义

三聚氰胺树脂胶粘剂melamine resin ad-hesives

三聚氰胺或三聚氰胺尿素与甲醛在催化剂作用下经缩聚反应制得的热固性胶粘剂。又称三聚氰胺甲醛树脂胶粘剂。它包括三聚氰胺甲醛树脂胶和三聚氰胺尿素甲醛树脂胶。是一种重要的氨基树脂。由于它有较大的活性,故在使用时,不加或少加固化剂均可进行加热固化。
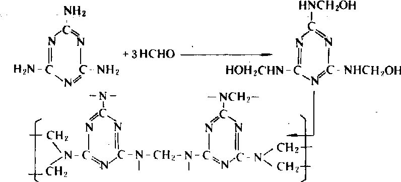
三聚氰胺是一种三氨基化合物,从化学结构来看,它含有与尿素分子相似的基团,因此具有与尿素相似的性能,与甲醛反应生成羟甲基三聚氰胺,再进一步缩聚生成三聚氰胺甲醛树脂。其反应过程:


三聚氰胺树脂的制造:一般是1摩尔的三聚氰胺与2~3摩尔的甲醛,在碱性或中性介质中,80~90℃条件下进行反应,制得水溶性或水醇溶性的三聚氰胺树脂。

表1 三聚氰胺、尿素共缩聚树脂原料配比与耐沸水强度之关系

树 种
强度(MPa)
M与U的用量比
桦 木椴 木栎 木
M7: U3
M5: U5
M3: U7
MF
2.06
1.72
1.44
1.96
1.25
0.86
0.42
1.33
1.18
0.94
0.70
1.86

M三聚氰胺;U尿素;MF三聚氰胺树脂。
耐沸水强度是在沸水中煮3小时后的胶合程度。

表2 三聚氰胺树脂与脲醛树脂混合
比例与强度的关系

MF:UF常温胶合强度
(MPa)
耐温水胶合强度
(MPa)
耐沸水胶合强度
(MPa)
20:80
25:75
30:70
35:65
3.03
2.57
3.34
3.33
2.43
2.54
2.43
2.71
1.31
1.39
1.36
1.30

UF 脲醛树脂。

表3 脲醛树脂中加入三聚氰胺单体用量与强度的关系
(以脲醛树脂100计)

三聚氰胺
加入量
常温胶合强度
(MPa)
耐温水胶合强度
(MPa)
耐沸水胶合强度
(MPa)
0
5
10
15
20
3.26
3.29
3.29
2.62
2.65
1.91
3.36
3.33
3.31
2.85
0.14
2.43
2.49
2.97
2.88

耐温水是浸63℃水3小时后胶合强度,耐沸水是沸水煮3小时后胶合强度,板材为桦木胶合板。
三聚氰胺本身熔点较高,制成的胶粘剂固化后交联度大,故产品的热稳定性、硬度、耐磨性、耐沸水性、耐化学药品性等都较好。但是固化后的胶层脆,产品易破裂,纯树脂稳定性差,所以一般不单独使用,而采用改性三聚氰胺树脂胶。
三聚氰胺树脂胶用途广泛,常用于生产纸质塑料贴面板及室外型人造板等。作为胶粘剂使用,通常是采用三聚氰胺与尿素甲醛共缩聚;三聚氰胺树脂与脲醛树脂混合或脲醛树脂中加入三聚氰胺单体的办法。其配比与性能的关系如表1、2、3。
随便看

 

离鸟网收录3541549条中英文词条,其功能与新华字典、现代汉语词典、牛津高阶英汉词典等各类中英文词典类似,基本涵盖了全部常用中英文字词句的读音、释义及用法,是语言学习和写作的有利工具。

 

Copyright © 2004-2024 vtrois.com All Rights Reserved
更新时间:2026/4/9 14:31:16