网站首页  词典首页


请输入您要查询的字词:

 

字词 三角形的角平分线长公式
类别 中英文字词句释义及详细解析
释义
三角形的角平分线长公式

三角形的角平分线长公式sanjiaoxing de jiao pingfenxi-an chang gongshi

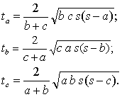
设ta,tb,tc分别表示三角形三个内角A,B,C的平分线长,a,b,c表示三边长,s=(a+b+c)/2. 则


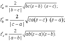
设t′a,t′b,t′c分别表示角A,B,C的外角平分线长.则

☚ 三角形的中线长公式   三角形的面积公式 ☛
00012640
随便看

 

离鸟网收录3541549条中英文词条,其功能与新华字典、现代汉语词典、牛津高阶英汉词典等各类中英文词典类似,基本涵盖了全部常用中英文字词句的读音、释义及用法,是语言学习和写作的有利工具。

 

Copyright © 2004-2024 vtrois.com All Rights Reserved
更新时间:2026/4/8 17:12:09