网站首页  词典首页


请输入您要查询的字词:

 

字词 三角形的面积公式
类别 中英文字词句释义及详细解析
释义
三角形的面积公式

三角形的面积公式sanjiaoxing de mianji gongshi

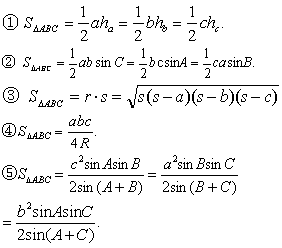
在△ABC中,设∠A,∠B,∠C的对边为a,b,c;a,b,c边上的高分别为ha,hb,hc;s=(a+b+c)/2,r为△ABC内切圆半径,R为△ABC外接圆半径,△ABC的面积为

S△ABC.




❻秦九韶公式:我国宋朝时秦九韶在《九章算术》中记载的三斜求积的方法是(如图):“以小斜幂(c2)并大斜幂(a2)减中斜幂(b2),余半之,自乘于上;以小斜幂乘大斜幂,减上,余四约之,为实;一为从隅,开平方得积”.这个算法用公式表示,就是

这个公式可以变成

形式.它又叫做三斜求积公式.
☚ 摩尔外得公式   海伦公式 ☛

三角形的面积公式

三角形的面积公式sanjiaoxing de mianji gongshi

参见“多边形的面积公式”.

☚ 三角形的角平分线长公式   海伦公式 ☛
00012641
随便看

 

离鸟网收录3541549条中英文词条,其功能与新华字典、现代汉语词典、牛津高阶英汉词典等各类中英文词典类似,基本涵盖了全部常用中英文字词句的读音、释义及用法,是语言学习和写作的有利工具。

 

Copyright © 2004-2024 vtrois.com All Rights Reserved
更新时间:2026/4/9 8:56:04