网站首页  词典首页


请输入您要查询的字词:

 

字词 三角形的高线长公式
类别 中英文字词句释义及详细解析
释义
三角形的高线长公式

三角形的高线长公式sanjiaoxing de gaoxian chang gongshi

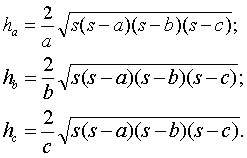
设a,b,c表示三角形的三边长;ha,hb,hc分别表示a,b,c三边上的高线长;s=(a+b+c)/2.则

☚ 欧拉线   阿波罗尼斯定理 ☛
00012637
随便看

 

离鸟网收录3541549条中英文词条,其功能与新华字典、现代汉语词典、牛津高阶英汉词典等各类中英文词典类似,基本涵盖了全部常用中英文字词句的读音、释义及用法,是语言学习和写作的有利工具。

 

Copyright © 2004-2024 vtrois.com All Rights Reserved
更新时间:2026/4/9 8:22:53