网站首页  词典首页


请输入您要查询的字词:

 

字词 两个四格表的交互作用
类别 中英文字词句释义及详细解析
释义
两个四格表的交互作用

两个四格表的交互作用

四格表(2×2表)x2检验,也是检验两因素(各有两个水平) 的交互作用。如分析男女之间慢性胃病患病率有无差别,男女的患病率不同,即性别与患病之间有交互作用;反之,无交互作用,即彼此独立。以上是一级交互作用,若进一步分析甲县与乙县男女的患病率有无差别,即二级交互作用,可作两个四格表(2×2×2表) 的x2检验。这类问题的特点是共有三个因素,每一因素分为两个水平,如地区分为甲县与乙县,性别分为男与女,患病分为非患者与患者,全部资料组成如下两个四格表,以分析三因素的二级交互作用,即两个四格表的交互作用。


四格表中a、b、c、d及a′、b′、c′、d′ 为样本的实际频数。
2×2×2表x2检验的方法步骤是:
(1) 建立检验假设H0: 由上列四格表可见,若甲县性别与患病无交互作用,则男、女的非患者数与患者数的比例相等,即a/b=c/d,或ad/bc=1;同理乙县为a′d′/b′c′=1;显然,两四格表无交互作用,则ad/bc = a′d′/b′c′。由于样本有抽样误差,故须作假设检验。分析总体的交互作用与样本类似,但须用概率表示。设N个观察对象分别落入两个四格表中每个格子的概率为Pa,Pb,Pc,Pd及Pa′,Pb′,Pc′,Pd′,则:H0: PaPd/PbPc=Pa′Pd′/Pb′Pc′,总体中无交互作用。H1: PaPd/PbPc≠Pa′Pd′/Pb′Pc′,总体中有交互作用。(2) 计算统计量x2值: 计算x2值时,一般须按H0求出理论频数。设四格表中每个格子的实际频数为A,理论频数为T,差值为X,即A-T=X,则各格的|X|相等。两个四格表有一公用的|X|。因此,当求得|X|后,各格理论频数可用倒推法求得如下:


理论上可以推证Pa=Ta/n,Pb =Tb/n,…。因而根据H0可得式(1)
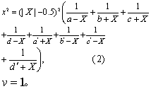
(a-X)(d-X)/(b+X)(c+X)=(a′+X) (d′+X) /(b′-X)(c′-X),或 (a-X)(d-X)(b′-X)(c′-X)
=(a′+X)(d′+X)(b+X)(c+X)。(1)对式(1)用可编程序的电子计算器求解,或用迭代法求X的近似值,代入式(2)即可求得连续性校正的x2值。


(3) 查x2界值表,得P值,按所取检验水准作出推断结论。
例 现调查得甲、乙两县的慢性胃病患病资料如下,问甲县与乙县男、女慢性胃病患病率有无差别?


H0: PaPd/PbPc=Pa′Pd′/Pb′Pc′,H1: PaPd/PbPc≠ Pa′ Pd′/Pb′Pc′。
a=0.05。
按式(1)得
(1666-X)(475-X)(523-X)(1130-X)=(998+X)(272+X)(405+X)(1933+X),7402X3-897832X2+ 4202313818X-2.5517×1011 =0。
❶用迭代法。先令4202313818X-2.5517×1011=0,求得X的初始估计值,X=60.72,依次取附近大小不同的估计值,试代入式
❶,直到前后两次回代得值接近于零,并发生正负号变化时,此估计值即为所求者。


故X值应在61.1至61.2之间,设X=61.15,代入式(2)得,


查x2界值表,P<0.005,按α=0.05水准拒绝H0,接受H1,说明两四格表间存在交互作用,即地区不同,性别不同,慢性胃病患病率也不同。患病率男女间的差别,表现在乙县男性高于女性(x2=82.73,P<0.005);甲乙两县间的差别表现在男性方面乙县高于甲县(x2=100.65,P<0.005)。
☚ 四格表的确切概率法   多个样本率比较 ☛
00013218
随便看

 

离鸟网收录3541549条中英文词条,其功能与新华字典、现代汉语词典、牛津高阶英汉词典等各类中英文词典类似,基本涵盖了全部常用中英文字词句的读音、释义及用法,是语言学习和写作的有利工具。

 

Copyright © 2004-2024 vtrois.com All Rights Reserved
更新时间:2026/4/7 3:08:31