网站首页  词典首页


请输入您要查询的字词:

 

字词 两样本几何均数比较
类别 中英文字词句释义及详细解析
释义
两样本几何均数比较

两样本几何均数比较

比较两样本几何均数的目的是推断它们各自所代表的总体几何均数是否相等。常以观察值X的对数变换值lg X作为变量值进行t检验,当样本含量大时,亦可用u检验。
应用此法的条件是所比较的两组计量数据:
❶均呈倍数关系,宜用几何均数表示其平均水平者;
❷符合对数正态分布。
t检验 对X作对数变换后,
❶计算lg X的均数 (即几何均数G的对数值)和方差。
❷作方差齐性检验(见条目“两个方差的齐性检验”)。
❸如方差齐,对lg X作t检验;如方差不齐,对lgX作t′检验(见条目“两样本均数比较”)。
u检验 当样本含量较大时,t分布逼近正态分布,得t值后可查u界值表得P值,按所取检验水准作出推断结论(见条目“两样本均数比较”)。
例 将钩端螺旋体病人的血清分别用标准株和水生株作凝溶试验,所得稀释倍数如下,问两组的平均效价有无差别?

标准株组,X1100 200 400 400 400 400 800
1600 1600 1600 3200
水生株组,X2100 100 100 200 200 200 200
400 1600

观察值呈等比关系,宜作两样本几何均数的比较。
(1) 计算lg X的均数及方差。


同理得n2 =9,∑ lg X2 = 21. 010,∑(lgX2)2=50.216,lg G2=2.334,G2=216,s2lgx2=0.146。
(2) 作方差齐性检验。
H0: σ12=σ22,H1: σ12≠σ22。
a = 0.05。
F=0.204/0.146=1.397。
查F界值表得P>0.05,按a=0.05水准不拒绝H0,可认为两组方差齐。
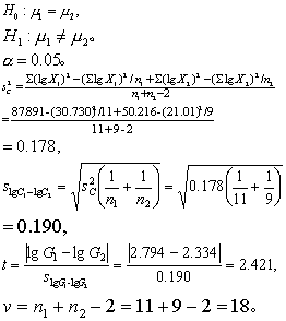
(3) 对lg G1与lg G2作t检验。


查t界值表得0.05>P>0.02,按a=0.05水准拒绝H0,接受H1,故认为两组凝溶试验的平均效价不同,标准株高于水生株。
☚ 样本几何均数与总体几何均数比较   两个方差的齐性检验 ☛
00013234
随便看

 

离鸟网收录3541549条中英文词条,其功能与新华字典、现代汉语词典、牛津高阶英汉词典等各类中英文词典类似,基本涵盖了全部常用中英文字词句的读音、释义及用法,是语言学习和写作的有利工具。

 

Copyright © 2004-2024 vtrois.com All Rights Reserved
更新时间:2026/4/8 20:52:50