网站首页  词典首页


请输入您要查询的字词:

 

字词 两样本均数比较
类别 中英文字词句释义及详细解析
释义
两样本均数比较

两样本均数比较

比较两样本均数的目的是推断它们各自所代表的总体均数是否相等。一般用t检验,方差不齐时可用t′检验,样本含量大时亦可用u检验。
t检验 统计量t值的计算步骤如下:
(1) 分别计算两样本观察值X1及X2的∑X1、∑X2、∑X12、∑X22、1、 2,并按式(1)计算合并方差sc2,


式中的分子即∑(X1-1)2+∑(X2-2)2,为两样本离均差平方和的合计,n1、n2为两样本含量,分母为两自由度(n1-1)+(n2-1)之和。
(2) 按式(2)计算两均数之差的标准误s1-2,


(3) 按式(3)计算统计量t值,


求得t值后,查t界值表得P值,按所取检验水准作出推断结论。
应用t检验的条件,尤其是小样本时,要求两组资料:
❶皆服从正态分布,需要时作正态性检验;
❷方差齐,需要时作方差齐性检验。若资料不能满足上述要求,可选择以下办法处理:
(1) 通过变量变换,变换值满足上述条件后,用变换值作t检验。
(2) 选择不要求上述条件的方法,比较其他的位置指标。如比较其中位数,或用其他非参数法。
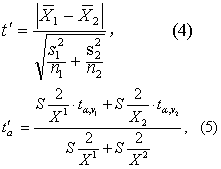
(3) 用近似法t′检验。按式(4)计算统计量t′值,按式(5)计算界值t′α。


式(4)中s12、s22为两样本方差,按式(6)计算,


式(5)中tα,v1、tα,v2由t界值表查得(按v1=n1-1,v2=n2-1,α为给定的检验水准),其他符号同上。将所得t′与t′α比较,若t′α,不拒绝H0;若t′≥t′α,则P≤α,拒绝H0,接受H1
例1 分别测得14例老年性慢性支气管炎病人及11例健康人的尿中17酮类固醇排出量(mg/dl)如下,试比较两组的均数有无差别。
病 人,X1: 2.90 5.41 5.48 4.60 4.03 5.10 4.97 4.24 4.36.2.72 2.37 2.09 7.10 5.92
健康人,X2: 5.18 8.79 3.14 6.46 3.72 6.64 5.60 4.57 7.714.99 4.01
H0: μ1=μ2,即两个总体均数相等;
H1: μ1≠μ2,即两个总体均数不等。
α=0.05。


查t界值表得0.10>P>0.05,按a=0.05水准不拒绝H0,故尚不能认为老年性慢性支气管炎病人尿中17酮类固醇的排出量与健康人不同。
例2 由X线片上测得两组病人的R1值(肺门横径右侧距,cm),初步计算结果如下,试比较两组的均数有无差别。
肺 癌 病 人: n1 =10,1, =6.21cm, s1=1.79cm;
矽肺O期病人: n2=50,2=4.34cm, s2=0.56cm。
两样本方差相差10倍以上,作方差齐性检验(见条目“两个方差的齐性检验”),得F=10.20,P<0.05,两方差不齐。故用t′检验比较两个均数。
H0: μ1=μ2,H1: μ1≠μ2。
a=0.05。


查t界值表得t0.05,9=2.262,t0.05,49=2.009。


现t′>t′0.05,故得P<0.05,按a=0.05水准拒绝H0,接受H1,故可以认为两组的均数不同,肺癌病人R1值均数大于矽肺O期者。
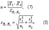
u检验 当两样本含量均较大时,除仍可用t检验外,还可按正态近似原理,用u检验。两种检验的计算过程类似,结果亦很接近。按下式计算统计量u值,


算得u值后,查u界值表得P值,按所取检验水准作出推断结论。
例3 某市于1957年和1973年抽查部分12岁男童的身高,初步计算结果如下,试比较这两个年度12岁男童的身高均数有无差别。
1957年: n1 =120,1, =139.9cm, s1 =7.5cm;
1973年: n2=153,2,=143.7cm, s2= 6.3cm。
H0: μ12
H1: μ1≠μ2
a=0.05。


查u界值表得P<0.01,按a=0.05水准拒绝H0,接受H1。可以认为该市两个年度12岁男童身高均数不等,1973年比1957年为高。
☚ 配对计量资料比较   方差分析 ☛
00013226
随便看

 

离鸟网收录3541549条中英文词条,其功能与新华字典、现代汉语词典、牛津高阶英汉词典等各类中英文词典类似,基本涵盖了全部常用中英文字词句的读音、释义及用法,是语言学习和写作的有利工具。

 

Copyright © 2004-2024 vtrois.com All Rights Reserved
更新时间:2026/4/9 4:21:04