网站首页  词典首页


请输入您要查询的字词:

 

字词 两样本率比较
类别 中英文字词句释义及详细解析
释义
两样本率比较

两样本率比较

两个样本率作比较的目的在于推断两个样本各自代表的两总体率是否相等。常用的方法有x2检验、u检验及对数似然比检验,也可用平方根纸作检验。当样本含量甚小时宜用四格表的确切概率法。
x2检验 任何样本率的原始资料都包括两个互相对立的属性不同的基本数据,如阳性率包括阳性数与阴性数。两个率的比较,就有四个基本数据,如下面方格内的a、b、c、d。这类资料列成的下列格式称为四格表,因为基本数据(不计合计)有2行2列,故亦称2×2表。


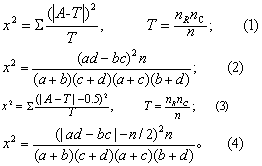
四格表x2检验可选用式(1)~(4)之一计算统计量x2值。

式(1)及式(3)中,A为各格的实际频数; T为按检验假设:两总体率相等,均等于两样本的合计率时算出的理论频数; n为两个样本的总例数; nR和nC分别为所求理论频数所在行R与列C的合计。当求得任一格的T后,其余三格的T均可从合计数中用减法求得。式(2)及式(4)中,a、b、c、d为各实际频数。
式(1)为计算x2值的通用公式;式(2)为四格表x2检验的专用公式,直接用实际频数计算,较为简便;式(3)、(4)分别为对应于式(1)、(2)的连续性校正(见“样本率与总体率比较”)公式。四格表x2的校正问题,统计学家有不同的意见。一般认为总例数n较少,理论频数T较小时校正的意义更大,但若n和T过小则不宜用x2检验。至于n、T的大小界限,有人提出T<5应校正,所有T≥7.5可不校正;有人提出T<5又n<40,或有T<1,或n<20,宜用确切概率计算法(见条目“四格表的确切概率法”),可作参考,但不必过分拘泥于截然界限。有人认为所有四格表x2检验宜一律校正。但有人认为不校正,x2值偏高,而校正后有时偏低,可能矫枉过正。故当观察统计量x2值在界值附近时,最好改用四格表的确切概率法。
四格表的自由度v=1,算得x2值后,查x2界值表得P值,按所取检验水准作出推断结论。
例1 就表1资料,比较单用甘磷酰芥(单纯化疗组)与复合使用争光霉素、环磷酰胺等药(复合化疗组)对淋巴系统肿瘤的疗效,问两组患者的完全缓解率有无差别?
H0: π1=π2,H1: π1≠π2。
α=0.05。

表1 两化疗组的缓解率比较

治疗组缓 解未缓解合计缓解率(%)
单纯化疗
复合化疗
2(4.92)
14(11.08)
10(7.08)
13(15.92)
12
27
16.7
51.9
合 计16233941.0


查x2界值表,v=1,0.5>P>0.05,按α=0.05水准不拒绝H0,故本资料不能说明两种疗法的缓解率不同。
例2 在二乙基亚硝胺诱发大白鼠鼻咽癌的实验中,一组单纯用亚硝胺向鼻腔滴注(鼻注组),另一组在鼻注亚硝胺基础上加注维生素B12,实验结果见表2,问两组生癌率有无差别?

表2 两组大白鼠生癌率比较


 生癌鼠数未生癌鼠数合计生癌率(%)
鼻注组
鼻注+B12组
52(57.18)
39(33.82)
19(13.82)
3(8.18)
71
42
73.24
92.86
合 计912211380.53

H0: π1=π2
H1: π1≠π2
α=0.05。


x2界值表,v=1,0.025>P>0.01,按α=0.05水准拒绝H0,接受H1,可认为两组大白鼠的生癌率不同,鼻注+B12组较高。
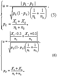
u检验 当自由度为1时,u2α=x2α,故u检验与x2检验等价。u检验可选用式(5)或式(6)计算u值。式(5)与式(1)、(2)相应,式(6)与式(3)、(4)相应。

式中X1及n1分别为较大阳性率p1的阳性数及样本含量; X2及n2分别为较小阳性率p2的阳性数及样本含量;p0为合并率。算得u值后,查u界值表得P值,按所取检验水准作出推断结论。
例3 例题同例1资料。H0、H1及α同例1。


查u界值表,得0.10>P>0.05,结论同例1。
例4 例题同例2资料。
H0、H1及α同例2。


查u界值表,得0.02>P>0.01,结论同例2。
对数似然比检验 可选用式(7)或式(8)计算G值。G=2[∑Aln A-∑nRln nR-∑nCln nC+nlnn],(7)G=4.60517[∑A lg A-∑nR lgnR-∑nC lg nC+nlgn]。(8)
式中A、nR、nC及n的意义同式(1)或式(3)。若作连续性校正,则对四格表实际频数中: ad与bc的乘积之较大者各减0.5,较小者各加0.5。如ad>bc,则∑A ln A=(a-0.5) ln (a-0.5)+(d-0.5) ln (d-0.5)+(b+0.5)ln(b+0.5)+(c+0.5)ln(c+0.5),反之亦然。当样本含量较大时,统计量G近于x2分布,故算得G值后查自由度为1的x2界值表得P值,按所取检验水准作出推断结论。
例5 例题同例2资料。
H0、H1及a同例2。
按表2数据,用式(8):
G=4.60517[52]g 52+19 lg 19+39 lg 39+3 lg 3-71 lg 71 - 42 lg 42-91 lg 91-22 lg 22+113 lg 113] =7.31。
查x2界值表,v=1,0.01>P>0.005。结论同例2。
四格表资料的合并 为了充分利用同类资料的信息,可将几个四格表资料合并分析。如果实验条件完全一致,各表中相应的率很相近,趋势亦相同,把几个四格表的相应数据合为一个四格表进行统计分析是合理的。但如同一实验分批操作,或同一调查分地区、分阶段进行,则条件不尽相同,就不宜将各四格表的相应数据直接相加,而须采用下列方法。
合并x2值法 若各个四格表的总例数n相差不大,每一四格表中相应的两样本率p1-p2之差符号一致,即趋势相同。则可按x2的可加性原理: x2之和本身亦呈x2分布,将各个四格表的x2值(用未经校正公式计算的x2值)、自由度分别相加,然后以合计的x2值与自由度查x2界值表得P值,按所取检验水准作出推断结论。
例6 用甲型25号止血粉做狗股动脉横断止血试验,共进行六次,结果见表3,问加药压迫3分钟和5分钟的止血成功率间有无差别?

表3 压迫3分钟组和5分钟组的止血成功例数

试验号每 组
动物数
成功例数X2值
3分钟5分钟
1
2
3
4
5
6
16
16
16
16
16
16
3
7
5
8
6
2
5
9
11
12
11
7
0.67
0.50
4.50
2.13
3.14
3.86
14.80

H0: π1=π2,即两组的成功率相等;
H1: π1≠ π2,即两组的成功率不等。
α=0.05。
本例各次试验都是5分钟成功率比3分钟高,趋势相同。每次资料均可列成四格表形式,如第一次试验:


仿此求得六个x2值,列于表3左侧,合并x2=14.80。四格表的自由度为1,六个四格表自由度相加为6。查x2界值表得0.025>P>0.01,按α=0.05水准拒绝H0,接受H1,故可认为用甲型25号止血粉压迫3分钟和5分钟的止血成功率不等,压迫5分钟的止血成功率高于压迫3分钟。
合并值法 凡符合上述“合并x2值法”的资料,如果各个四格表中两样本率之差p1-p2的符号不完全一致时,则可用式(9)作u检验。

式中xi为第i个四格表的值(用式(1)或式(2)算得),相加时要求记录各表中两个样本率之差的正负号,并把它冠于xi之前;k为所合并的四格表的个数。算得u值后,查u界值表得P值,按所取检验水准作出推断结论。
例7 某地调查人群中乙型肝炎表面抗原携带情况,得资料如下,问男女间乙型肝炎表面抗原阳性率有无差别?


H0: π12,即男女阳性率相等;H1: π1≠π2,即男女阳性率不等。
α=0.05。
今k=3,按式(9):


查u界值表,得0.05>P>0.02,按α=0.05水准拒绝H0,接受H1,说明该地男女居民乙型肝炎表面抗原的阳性率不同,男性的阳性率较高。
加权合并法 (W.G.Cochran,1954) 若各个四格表的总例数n相差较大,或有四格表中两样本含量相差超过1倍时,显然不应把各表中两样本率之差同等看待,而应按式(10)作加权u检验。

式中p1、p2分别为同一四格表内的两样本率(在不同四格表内,p1、p2分别代表同类现象)。n1、n2分别为相应的两样本含量,w为该四格表的权数,po为该四格表的合并率;k为所合并的四格表的个数。
例8 观察了424例斜视患者双目屈光参差的情况,资料如下,问单眼斜视与交替斜视的屈光参差阳性率有无差别?


H0: π1=π2,即单眼与交替斜视屈光参差阳性率相等;
H11 ≠π2,即单眼与交替斜视屈光参差阳性率不等。
α=0.05。
计算每一个四格表的阳性率p及权数w,列于上表右侧。如内斜视四格表:


外斜视四格表仿此计算。将结果代入式(10)得


查u界值表,得P<0.01,按α=0.05水准拒绝H0,接受H1。说明单眼斜视与交替斜视的屈光参差阳性率有差别,单眼斜视患者的阳性率较高。
x2齐性检验 样本资料的合并是在资料同质的前提下进行的,因而需要考查各样本是否来自同一总体。若经假设检验认为各样本不是来自同一总体,则称存在间杂性;反之称齐性。比如,四格表资料的合并必要时应通过x2齐性检验。检验假设H0为各四格表资料属齐性。方法步骤:
❶先分别计算各四格表的x2值及自由度并分别相加得合计值;
❷求合并四格表的x2值及自由度;
❸求“合计”与“合并”相差的x2值及自由度,以此查x2界值表得P值,按所取检验水准作出推断结论。
例9 对例7资料作齐性检验。H0:三个年龄组资料属齐性,H1:三个年龄组资料非齐性。
α=0.05。
三个年龄组各四格表的x2值见例7,自由度各为1,“合计值”,x2为0.0924+11.0961 +0.5108=11.6993,v=1+1+1=3。再将三个四格表合并,求“合并值”:

 自由度X2值
合计值311.6993
合并值18.2322
相差(间杂性)23.4671

查x2界值表得0.50>P>0.05,按α=0.05水准不拒绝H0,可认为三个年龄组资料属齐性,因而可以合并。
☚ 配对计数资料比较   四格表的确切概率法 ☛
00013216
随便看

 

离鸟网收录3541549条中英文词条,其功能与新华字典、现代汉语词典、牛津高阶英汉词典等各类中英文词典类似,基本涵盖了全部常用中英文字词句的读音、释义及用法,是语言学习和写作的有利工具。

 

Copyright © 2004-2024 vtrois.com All Rights Reserved
更新时间:2026/4/7 6:16:08