网站首页  词典首页


请输入您要查询的字词:

 

字词 两直线回归方程比较
类别 中英文字词句释义及详细解析
释义
两直线回归方程比较

两直线回归方程比较

样本直线回归方程经假设检验认为存在直线关系 (见条目“直线回归”),就可与指定的直线方程进行比较,以推断样本所代表的总体直线回归方程与指定方程有无差别;或将两个样本直线回归方程进行比较,以推断样本所代表的两总体直线回归方程有无差别。决定直线回归方程的参数是回归系数和截距,因而两直线回归方程的比较就需分别作两回归系数的比较和两截距的比较,均用t检验。
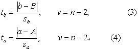
样本直线回归方程与指定直线方程比较 指定方程Y=A+BX,式中A为直线在Y轴上的截距,B为回归系数,二者均系总体直线回归方程的参数,常为理论值或标准值。t检验步骤如下:
(1)作检验假设。对回归系数,H0为样本所代表的总体回归系数β等于B,即β=B;对截距,H0为样本所代表的总体回归直线在Y轴上的截距等于A。
(2) 算出样本直线回归方程的有关数据: n,, ,lXX, lXY, lYY, a, b, ∑(Y-Ŷ)2, sY·X, 计算公式见条目“直线回归”。
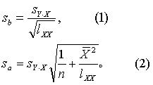
(3) 计算回归系数b的标准误 sb,截距a的标准误Sa:

(4) 求统计量t值。


(5) 查t界值表得P值,按所取检验水准作出推断结论。
例1 在无震动和有一定震动的情况下,同时测定10份血样的血细胞沉降率(mm/h),结果见表1。问该震动对血沉测定有无影响。

表1 某震动对血沉(mm/h)的影响

标 本 号无震动,X震 动,Y
1
2
3
4
5
6
7
8
9
10
3
3
1
90
2
7
67
27
18
32
6
5
1
123
3
11
74
33
21
38

如果该震动对血细胞沉降率测定无影响,那么同一标本的两管血沉结果应相同,如作图,点子应落在Ŷ=X的直线上,见图1。因此理论直线方程的A=0,B=1。据此作出检验假设:
回归系数
H0: β=1,
H1: β≠1。截距
H0: 总体截距为0,
H1: 总体截距不为0。
均取a=0.05。


图1 震动对血沉(mm/h)的影响


n=10, =25, =31.5, lXX=8488, lXY=10755, lYY=13848.5, a=-0. 1771, b=1.2671, Σ(Y-Ŷ)2=221.0230,sY·X=5.2562,按式(1)~(4):


查t界值表,就tb而言,P<0.01,按a=0.05水准拒绝H0,接受H1: β≠1,因b>1,故可以认为原血沉值愈高震动后的血沉值偏高愈甚;就ta而言,P>0.50,按a=0.05水准不拒绝H0;可认为总体截距为0,结合β≠1,说明该震动对血沉值接近0者无甚影响。
两样本直线回归方程比较 包括回归系数和截距的比较,均用t检验。
两样本回归系数的比较 步骤如下:
(1)作检验假设。H0为两总体回归系数相等,即β1=β2
(2) 分别算出两直线方程的有关数据: n,, lXX,lXY, a, b, ∑(Y-Ŷ)2,计算公式见条目“直线回归”。(3) 先作两直线剩余均方的齐性检验(见条目“两个方差的齐性检验”),若方差齐,再计算两回归系数的合并剩余均方(sY·X2)p:


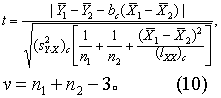
(4)计算两回归系数之差的标准误sb1-b2:


(5)计算统计量t值:


(6)查t界值表得P值,按所取检验水准作出推断结论。若拒绝H0,则可认为两直线的斜率不同。如果为了判断两直线能否合并,拒绝H0则不必再检验截距;若不拒绝H0,则可进一步检验两直线是否重合(即截距是否也相等)。
两样本截距的比较 步骤如下:
(1)作检验假设。H0为两总体截距相等。
(2)将两样本下列数据合并:
(lXX)c=(lXX)1+(lXX)2
(lXY)c=(lXY)1+(lXY)2
(lYY)c=(lYY)1 +(lYY)2
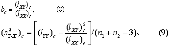
(3)求公共回归系数bc和公共剩余均方(sY·X2)c:


(4) 求统计量t值:


(5)查t界值表得P值,按所取检验水准作出推断结论。
例2 某单位用两法同时测定清洁水与污浊水中的溶解氧,结果见表2,问两回归直线间有无差别?

表2 水中溶解氧的含量

清 洁 水污 浊 水
碘量法
(mg/L)
X1
极谱法
(μA)
Y1
碘量法
(mg/L)
X2
极谱法
(μA)
Y2
7.98
7.97
7.80
7.79
6.45
5.85
5.80
4.50
6.4
6.4
6.4
6.3
5.6
5.3
5.2
4.5
2.27
2.07
1.58
1.29
0.76
0.66
0.33
3.2
3.1
2.8
2.7
2.4
2.3
2.1

H0: β1=β2
H1: β1≠β2
a=0.05。
算得有关数据:作两直线的剩余均方的齐性检验:


查F界值表得P>0.05,按α=0.05水准,可认为方差齐,再按式(5)~(7)得


查t界值表得P>0.50,按α=0.05水准不拒绝H0,可认为两总体回归系数相等,进一步检验两截距是否相等。
H0: 两总体截距相等,H1: 两总体截距不等。
α=0.05。
按式(8)~(10)得


图2 两种方法测定水中溶解氧的结果


ν=8+7-3=12。
查t界值表得0.20>P>0.10,按α=0.05水准不拒绝H0,可认为两总体截距相等。
根据上述两样本直线回归方程的比较分析,可以认为两法对清洁水与污浊水溶解氧的测得结果的总体直线回归方程无差别,于是可将表2原始数据合并,算得

Ŷ=1.9398+0.5642X,

用以统一描述两法测得结果的回归关系。
☚ 总体回归直线的估计   多个直线回归方程比较 ☛
00013254
随便看

 

离鸟网收录3541549条中英文词条,其功能与新华字典、现代汉语词典、牛津高阶英汉词典等各类中英文词典类似,基本涵盖了全部常用中英文字词句的读音、释义及用法,是语言学习和写作的有利工具。

 

Copyright © 2004-2024 vtrois.com All Rights Reserved
更新时间:2026/4/7 20:10:33