网站首页  词典首页


请输入您要查询的字词:

 

字词 中位数
类别 中英文字词句释义及详细解析
释义

中位数

随机变量的一种位置特征数,常记为Md或x0.5。若随机变量X是连续型的,F(x)是它的分布函数,则F(Md)=0.5;若随机变量X是离散型的,则P(X≤Md)≥0.5,P(X≥Md)≥0.5,此时中位数不一定惟一。对样本来讲,是将观察值按从小到大的顺序排列后处于中间位置的数。若用n表示观察值的个数,用x1,x2,…,xn表示观察值,按从小到大的次序排列后的数记为x(1)≤x(2)≤…≤x(n),则

Md=


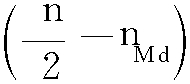
如果观察值已经分组列成频数分布表时,则其近似计算公式为

Md≈LMd+


其中LMd是中位数所在组的下限,nMd是小于中位数所在组下限的各组的频数之和,d是中位数所在组的区间长度,fMd是中位数所在组的频数。常被应用于测验分数统计中。

中位数median

按变量值大小顺序排成的数列中处于中间位置的数值。是一种位置代表值。它将数列分成相等的两部分,小于中位数变量值的个数与大于中位数变量值的个数相等。在单项数列的条件下,决定中位数时,可按下列公式求出中位数所在项次Om,处于Om位置上的变量值即为中位数。如果变量值个数(n)是偶数,中位数位于两变量值的中间,则将中位数前后两变量值求算术平均数,即为中位数。中位数项次的计算公式为:

在组距数列的条件下,中位数的计算公式为:

式中Me为中位数;L为中位数所在组下限;Sm-1为中位数所在组以下各组次数之和;fm为中位数所在组次数;∑f为全数列各组次数之和;△为中位数所在组组距。
中位数

中位数zhongweishu

亦称中数。是在一组按大小顺序排列的数据中,位置居中的那个数。是这组数据的集中趋势的代表数值之一,一般用符号Md表示。如在一组顺序已排好的数据2,3,5,8,11中,位置居中的数为5,即Md=5。计算方法分两种情形:
未分组的数据
❶把数据按大小顺序排列;
❷用N+1/2的公式(N为数据个数)求中位数的位置;
❸找出中位数位置所对应的数据,即为中位数。
如上例中,由于N=5,故中位数的位置是5+1/2=3,即第3个数就是中位数。当N为偶数时,则取中间两个数据的平均值为中位数。如2,3,6,8,则取3+6/2=4.5为中位数。
已分组的数据 对已分组的数据,可通过次数分布表来计算中位数。其步骤如下:
❶先编制一个累积次数分布表。
❷求N/2。中位数就在略大于N/2的那组里。如在“次数分布表”条的数据中,N=46,N/2=23,从累积次数分布表中找到略大于23的组是累积次数为27的组:76~80,这就是中位数所在组。
❸计算中位数。当累积次数是自下而上时,计算中位数的公式为:
Md=L+(N/2-Fl)i/f
式中 L——中位数所在组的精确下限
N——数据总个数
Fl——中位数所在组精确下限以下的累积次数
i——组距
f——中位数所在组的次数
当累积次数是自上而下时,则用下式求中位数:
Md=U-(N/2-FU)i/f
式中U——中位数所在组的精确上限
FU——中数所在组精确上限以上的累积次数
其余符号同前式。
在“次数分布表”条中的次数是自上而下累积的,故
Md=80.5-(46/2-16)5/11=77.3
在同一次数分布表中,用以上二式所计得的中位数是相同的。

☚ 平均数   众数 ☛

中位数

中位数zhongweishu

若随机变量X取小于某变值M c的概率 (或频率)恰等于50%,则变值Mc称为中位数,即


对于一组样本观察值,处在中间位置的该个体的数值称为中位数,严格地说,将n个数据按其数值大小从小到大的次序排列成

X(1),X(2),…,X(n)

则中位数

☚ 平均差与变异系数   众数 ☛
中位数

中位数Zhongweishu

把调查到的数据按大小次序排列起来,中间位置的一个数据,在统计中叫做中位数。当数据的个数为奇数时,则居中的一个数据就是中位数。例如, 97, 95, 87, 82, 75, 71, 63这7个数据中,数据82正好居中,因此82为中位数。当数据的个数为偶数时, 则取居中的两个数据的平均数作为中位数。例如, 98, 95, 92, 88, 82, 80, 79, 76这8个数据中,居中的两个数据为88和82,求它们的平均数 (88+82) ÷2=85, 则把85作为中位数。

☚ 加权平均数   统计表 ☛

中位数

总体单位的某一标志数值按大小顺序排列,居于中间的数值。代替算术平均数反映社会经济现象的一般水平,在产品质量统计检查中,用来说明产品的质量。

中位数median

是在按大小顺序排列的一组变量值中,位次居中的数值。其上、下各有相等的频数分布着。在变量值的个数较少时,计算居中位置时,比较方便。当变量值的个数较多时,可先将资料编成频数表,计算累计频数至略大于n/2 (即中间位次)为止,也就是中位数所在组段。再用下式计算: M=L+i/fm(n/2-C)0中位数常用于资料分布不清和两端开口的资料,来表示其集中趋势。

中位数Median

把数列中的各变量按数值大小顺序排列,处在数列中的中点位置上的数值就是中位数。中位数是按全部变量的位置决定的,因而变量数值的多少与中间位置的决定有直接关系。当数列中有极端数值时,中位数的数值不会受到很大影响。但由于它只取中间位置上的那个变量数值,数列中的许多信息其实没有得到充分利用。作为一个特别的平均数,中位数常用来测定人口年龄分配中的平均年龄。这是因为: 人口的年龄分布,虽然也是数量分组的次数分配,但年龄分配不是正态对称的,而是Y字型的。若计算算术平均数,则会由于老年人岁数的影响,使结果偏大,应按全体人口由幼至老排队,计算中位数。

中位数Median

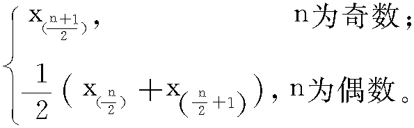
将总体单位的某一数量标志的各个数值按照大小顺序排列,居于中间位置的数值。在社会统计中可代表现象的一般水平。中位数的位置:当样本数为奇数时,中位数=第(N+1)/2个数据;当样本数为偶数时,中位数为第N/2个数据与第(N/2)+1个数据的算术平均值。主要用于测度顺序数据的集中趋势,也适用于作为数值型数据的集中趋势,但不适用于分类数据。

中位数

将总体单位的某一数量标志的各个数值按照大小顺序排列,居于中间位置的数值。在社会统计中有时可用它代表现象的一般水平。

中位数

中位数median

将总体单位的某一数量标志的各个数值按照大小顺序排列,居于中间位置的数值。在社会统计中有时可用它代表现象的一般水平。

☚ 平均数   众数 ☛
中位数

中位数

集中量数之一。指将一列变量值按大小顺序排列起来,处在中间位置上的那个数。中位数用Md表示。中位数将整个数列分为两半,一半比它大,一半比它小,中位数则不大不小处于居中位置。因而,有时用它代表现象的一般水平。中位数的计算:(一)对于未分组的资料可用下列公式直接求中位数:中位数位置=。式中,N是总体变量值个数,如果N为奇数,则居中间位置上的那个数值就是中位数;如果N为偶数,那么,居中间位置上就有两个数,而这两个数的算术平均数即为中位数。(二)由已分组的资料确定中位数,首先要计算累积次数,根据总次数求中位数所在的组,然而利用下式求出:。式中,Md为中位数,L为中位数所在组的下限,N为中位数所在组的上限,fm为中位数所在组的频次数,Σf为总次数,d为中位数所在组的组距,Sm-1为中位数所在组以下组的累积次数(不含中位数所在组)。中位数作为集中趋势的分析指标,通常适用于分析定序变量的数据资料。它的特点是,其概念容易理解,而且不受极端数值大小的影响,但缺点是,各单位的标志值必须先排大小,才能计算,而且它不能反映中位数以外各标志值变化的影响,灵敏性较差。例如,当两个数列的中位数相等,而实际上各变量值差别很大时,中位数无法显示两者的差异。

☚ 中心极限定理   中国人民大学舆论研究所 ☛
中位数

中位数

按大小顺序排列的变量数列中处于中间位置的变量值。中位数是根据位置确定的,因而不受极端变量值的影响。对于未分组的变量数列,确定中位数的步骤是: (1)将n个变量值按大小顺序排列; (2) 按 (n+1) /2计算中位数所在的位置。如果变量值的个数是奇数,则该位置对应的变量值即为中位数。如果变量值的个数是偶数,则处于中间位置的两个变量值的算术平均数为中位数。

☚ 几何平均数   众数 ☛
中位数

中位数

将总体单位的某一标志数值按其大小顺序排队,居于中间位置上的数值。中位数可以代替算术平均数来反映某种现象的一般水平。通常以Md表示。当数据几项是奇数,Md为第n+1/2项的数值; n项为偶数,Md为第n/2项和(n/2+1)项数值的平均数。

☚ 不重复抽样   分位数 ☛
中位数

中位数

将总体各单位按某一标志的数值大小顺序排列,居于正中位置的标志值。可用来反映现象的一般水平。由未分组的资料计算中位数的方法是:先按标志值大小顺序排列,位于 (n+1)÷2的单位的标志值即为中位数。例如,某小组五名工人的工资收入分别为80、85、91、98、104元,则第3名工人的91元就是中位数。如果总体单位数为偶数时,则中位数为位居中间的两个单位的标志值的平均数。由组距数列计算中位数的方法是: 先把全部单位数除以2,确定中位数所在组,然后用下列公式之一推算中位数:
下限公式:
上限公式:
式中: me代表中位数,L代表中位数所在组的下限,U代表中位数所在组的上限,∑f代表总次数,Sm+1代表中位数所在组以上各组的累计次数,Sm-1代表中位数组以下各组的累计次数,fm代表中位数所在组的次数,d代表中位数所在组的组距。中位数是位置平均数,由它在变量数列中的中间位置所决定,与其他各位置的标志值大小无关。适宜于用作反映显著偏斜的分配数列的一般水平。

☚ 众数   序时平均数 ☛
00006687
随便看

 

离鸟网收录3541549条中英文词条,其功能与新华字典、现代汉语词典、牛津高阶英汉词典等各类中英文词典类似,基本涵盖了全部常用中英文字词句的读音、释义及用法,是语言学习和写作的有利工具。

 

Copyright © 2004-2024 vtrois.com All Rights Reserved
更新时间:2026/4/7 3:25:31