网站首页  词典首页


请输入您要查询的字词:

 

字词 乘数-加速原理
类别 中英文字词句释义及详细解析
释义

乘数-加速原理

又称“乘数-加速模型”。国民经济中投资与产出(或收入、消费)相互之间存在倍增或倍减作用的原理。它由乘数原理和加速原理组成。乘数原理,是指投资的增减将引起产出(或收入、消费)加倍增减。加速原理,是指产出(或收入、消费)的增减将引起投资总规模加速扩张或收缩。乘数原理和加速原理的公式可简记为:

乘数原理的公式: ΔY=k·ΔI
加速原理的公式: I=u·ΔY

式中,ΔY表示产出的增量,I表示投资总规模,ΔI表示投资的增量,k为投资乘数,u为加速数。
乘数原理的公式表明,投资的一个初始扩张(ΔI),通过投资乘数(k)的放大作用,可导致产出加倍增长(ΔY)。投资乘数是指投资的变化所引起的产出的倍增或倍减的变化,即k=ΔY/ΔI。加速原理的公式表明,产出的增长(ΔY),通过加速数(u)的放大作用,可导致投资总规模(I)的加速扩张。加速数又称“加速系数”,是指产出的变化所引致的投资总规模的倍增或倍减的变化,即u=I/ΔY。乘数原理和加速原理可以在正、反两个方向发生作用,即可以在扩张和收缩两个方面发生作用。当投资扩张时,产出加倍地扩张;产出扩张时,投资加速扩张。反之,当投资收缩时,产出加倍收缩;产出收缩时,投资加速收缩。
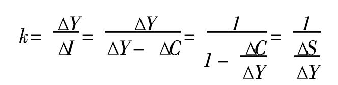
投资乘数与边际消费倾向有关,它是边际储蓄倾向的倒数。投资乘数k用公式表示为:

式中,ΔC表示消费的增量,ΔS表示储蓄的增量,ΔC/ΔY为边际消费倾向,ΔS/ΔY为边际储蓄倾向。
英国经济学家凯恩斯(Keynes, John Maynard, 1883—1946)在1936年出版的《就业、利息和货币通论》中分析了投资乘数的作用。1939年,美国经济学家萨缪尔森(Samuelson, Paul A.,1915— )进一步将产出(或收入、消费)的加速作用引进来,建立了一个线性乘数-加速数动态周期模型。这是一个带有动态时滞结构的模型,其中投资函数是一个二阶差分方程。乘数基于边际消费倾向,加速数基于特定时期的生产技术水平。这个模型的特性是: 当经济体系受到一个初始的外生扰动时,在不同的乘数和加速数的组合下,可以产生增幅的发散振荡、减幅的收敛振荡、等幅的周期振荡。这表明,在一定的乘数和加速数下,经济体系可呈现持续性的周期波动。
后来,英国经济学家希克斯(Hicks, John Richard, 1904—1989)又建立了一个非线性乘数-加速数动态增长周期模型。在其模型中,投资由两部分组成: 一部分为引致投资,即由于收入变动或消费变动所引致的投资;另一部分为自发投资,包括固定资本折旧的投资、外生的政府投资等。在萨缪尔森模型中,自发投资为一常数;在希克斯模型中,自发投资不是一个常数,而是以外生给定的增长率呈指数型增长。这样,希克斯模型成为一个非线性增长周期模型。此外,在萨缪尔森模型中,在经济周期的扩张阶段和收缩阶段使用的是同一个投资函数,也就是说,在周期波动的所有阶段加速数是恒定的;在希克斯模型中,扩张阶段和收缩阶段使用的是不同的投资函数,或者说,在经济周期的不同阶段,加速数是不同的。该模型的基本思路是: 自发投资增加(这可以理解为固定资本折旧投资的增加,或外生的政府投资的增加),由此引起收入的增加。收入的增加通过加速原理,使引致投资发散性地放大;投资的扩张,通过乘数原理,使收入进一步增长,并逐步达到上限。上限是指在现有资源充分利用情况下经济的最大增长路径。收入的增长受到资源能力的限制,根据加速原理,引致投资又逐渐回落,收入的绝对水平下降,生产能力过剩。乘数和加速数在反向起到放大作用,收入回落到下限。下限是指引致投资为零,指只有自发投资时经济增长所可能的路径。收入在下限运行一段时间后,自发投资的增长可对引致投资产生一个诱因,于是一个新的周期又开始了。在希克斯模型中,自发投资的增长是诱导经济体系重新扩张的重要外在刺激因素。这进一步发展了凯恩斯主义关于由政府投资来医治经济衰退的主张。
随便看

 

离鸟网收录3541549条中英文词条,其功能与新华字典、现代汉语词典、牛津高阶英汉词典等各类中英文词典类似,基本涵盖了全部常用中英文字词句的读音、释义及用法,是语言学习和写作的有利工具。

 

Copyright © 2004-2024 vtrois.com All Rights Reserved
更新时间:2026/4/9 14:18:49