网站首页  词典首页


请输入您要查询的字词:

 

字词 二噻农
类别 中英文字词句释义及详细解析
释义

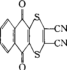
二噻农dithianon

醌类杀菌剂。化学名称:2,3-二腈基-1,4-二硫代蒽醌。化学结构式如右。原药为褐色晶体,熔点225℃,微溶于水,溶于1,3-二噁烷、氯仿、氯苯。遇碱不分解。保护性杀菌剂。主要用于防治果树叶斑病,如苹果、梨黑星病、桃炭疽病、穿孔病、锈病、缩叶病、褐腐病、葡萄霜霉病、柑橘疮痂病及咖啡锈病等。大鼠急性口服LD50为638 mg/kg,经皮毒性低。对蜜蜂无毒。

随便看

 

离鸟网收录3541549条中英文词条,其功能与新华字典、现代汉语词典、牛津高阶英汉词典等各类中英文词典类似,基本涵盖了全部常用中英文字词句的读音、释义及用法,是语言学习和写作的有利工具。

 

Copyright © 2004-2024 vtrois.com All Rights Reserved
更新时间:2026/4/7 4:12:23