网站首页  词典首页


请输入您要查询的字词:

 

字词 二次内插法
类别 中英文字词句释义及详细解析
释义
二次内插法

058 二次内插法

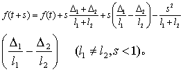
隋唐天文历算家为更精密推算日、月、五星的视运动度数所采用的计算方法。隋刘焯在世界上最早创用了等间距二次内插法。600年,他在《皇极历》 中四处运用此法。其计算相当于公式:


刘焯的算法是数学史上的重要成就,早于牛顿1000多年,对后世历法研究也有很大影响。619年唐傅仁均《戊寅历》、664年唐李淳风《麟德历》都用到类似公式。“精密至当,以示算理通涂(途)。”(李淳风语) 由于各个节气之间的时间长短实际上不相等,因此刘焯公式仍不够精确。727年,唐一行在刘焯基础上于《大衍历》的“步日躔术”(计算太阳视运行度数的步骤)中创用自变量不等间距的二次内插法。其算法相当于公式:


这就是数学史上著名的张遂内插法公式。822年,晚唐的徐昂在《宣明历》中更简化了一行的结果。他推算太阳视行度数时所用公式为:


其中△f (n) =△1=f(n+1) -f(n),△2f(n) =△2-△1= [f(n+2)-f(n+1)] - [f (n+1) -f(n)].内插法的创立、发展与应用是中国数学史和天文学史上的一项重大成就。
☚ 祖率   刘焯公式 ☛
00007921
随便看

 

离鸟网收录3541549条中英文词条,其功能与新华字典、现代汉语词典、牛津高阶英汉词典等各类中英文词典类似,基本涵盖了全部常用中英文字词句的读音、释义及用法,是语言学习和写作的有利工具。

 

Copyright © 2004-2024 vtrois.com All Rights Reserved
更新时间:2026/4/5 16:00:26