网站首页  词典首页


请输入您要查询的字词:

 

字词 Orlicz-Sobolev空间的逼近理论
类别 中英文字词句释义及详细解析
释义 Orlicz-Sobolev空间的逼近理论

Sobolev空间的逼近理论,在椭圆边值问题和变分不等式的近似解法中有广泛的应用。

当偏微分方程的非线性性属于多项式型的

(ξ(f)为{Dβf}|β|≤n的函数),可用Sobolev空间Wm,p(Ω)有效地加以处理。如果非线性不是多项式型的,例如为指数型的

那么利用Sobolev空间Wm,p(Ω)就难以处理该方程解的存在性和研究它的性质。

因此将凸函数tp由更一般的凸函数M(t)承担,空间Lp(Ω)代之以更一般的Orlicz空间LM(Ω),得到OrliczSobolev空间WmLM(Ω)。

空间WmLM(Ω)就有可能能够处理非多项式型的非线性偏微分方程。而空间WmLM(Ω)的近似理论将为研究非多项式型的非线性偏微分方程和变分不等式提供有力的工具。

Sobolev空间的逼近理论主要由Di.F.Guglielmo于1969~1970间建立起来的,这种理论在椭园边值问题近似解法中的应用总结在J.P.Aubin的专著《Approximation of Elliptic Boundary-Value Problems》中,这种理论在变分不等式近似解法中的应用总结在U.Mosco的著作《变分不等式近似解引论》中。

肖应昆于1981年将Sobolev空间的逼近理论推广到Orlicz-Sobolev空间,用离散方法建立了用梯形函数逼近EM空间(EM(Ω)表示Ω上有界且支集在的有界函数u的空间在LM(Ω)内的闭包。当且仅当(M,Ω)△-正则时,WmEM(Ω)和WmLM(Ω)重合,若1<p<∞,Mp(t)=tp,则WmLMp(Ω)=WmEMp(Ω))的元素,同时建立了用卷积作EM空间元素的逼近,并且建立了Orlicz-Sobolev空间WmEM的分段多项式逼近理论。

1985年肖应昆引入并证明了EM空间的连续模定理,这对Orlicz-Sobolev空间的逼近理论是十分重要的。并用连续模对逼近度进行估计,得到比1981年更为深刻的一些结果。

可以预测将Sobolev空间的有限元逼近推广到OrliczSobolev空间,在某些条件下,Orlicz-Sobolev空间可建立下述的有限元逼近

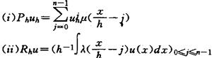
设 (i)λ(x)∈LM(Ω) 具有紧支集且

(ii)μ(x)∈WmLM(Ω)具有紧支集且

算子Rh和Ph定义如下

当u∈WmEM(Ω),λ(x)和μ(x)满足某些条件,则存在常数c使得

‖Dk(u-PhRhu)‖M≤chs-k‖Dsu‖M

其中0≤k≤s≤m。

Orlicz-Sobolev空间的逼近理论可望在非多项式型的非线性偏微分方程的近似解法中得到应用。

。【参考文献】:

1 Di Guglielmo F.Calcolo,1969,6∶279~331

2 肖应昆.科学通报,1981,3∶189~190

3 肖应昆.计算数学,1985,1∶90~96

(江西师范大学肖应昆教授撰)

随便看

 

离鸟网收录3541549条中英文词条,其功能与新华字典、现代汉语词典、牛津高阶英汉词典等各类中英文词典类似,基本涵盖了全部常用中英文字词句的读音、释义及用法,是语言学习和写作的有利工具。

 

Copyright © 2004-2024 vtrois.com All Rights Reserved
更新时间:2026/5/26 12:15:32