代数数域daishu shuyu
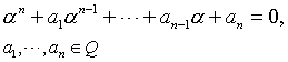
所有代数数构成的数域.若复数a适合

则α称为代数数.换言之,首系数为1的有理系数方程(多项式)的根,称为代数数.代数数就是有理数域上的代数元(参看“代数扩域”)
例如,


,i都是代数数.它们分别适合方程
x2-2=0,x2-3=0,x2+1=0
特别,所有有理数都是代数数.但不是所有复数都是代数数.e,π都不是代数数,它们都是超越数.
若a
1,a
2,…,a
n都是整数,而数a适合
an+a1αn-1+…+an-1α+an=0
则称α是一个代数整数.
例如,


,i都是代数整数.(-1+

)/2也是代数整数,它适合x
2+x+1=0.