网站首页  词典首页


请输入您要查询的字词:

 

字词 代森锌
类别 中英文字词句释义及详细解析
释义

代森锌zineb

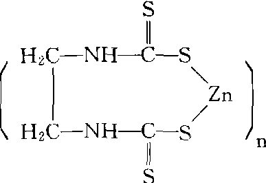
一种广谱保护性代森系有机硫杀菌剂。商品名有Aspor、Cuprosan、Lonacol、Parazate、Polyram Z、Tritorol等。化学结构式:

1943年美国罗门—哈斯公司(Rohm-Hass Co.)和杜邦公司(Du Pont Co.)同时开发。
性能 纯品为白色粉末,无臭味,工业品呈灰白色或淡黄色,有异臭。20℃时蒸气压小于10-7百帕,密度约1.74。闪点高于100℃。熔点前开始分解。遇日光照射、高温和潮湿更不稳定,分解放出二硫化碳而失效。遇碱加快分解。干燥时无腐蚀性,潮湿时能腐蚀铁、铜等金属。室温下水中溶解度为10毫克/升,不溶于大多数有机溶剂,但能溶于吡啶。吸湿性很强。毒性很小。大鼠急性经口LD50>5200毫克/千克;急性经皮LD50> 5200毫克/千克。对皮肤和粘膜有刺激性。对蜜蜂无毒。降解产物中的乙撑硫脲(ETU),经动物试验,能引致鼠的甲状腺肿大。杀菌谱广,对许多重要的植物病原真菌和细菌有活性。如霜霉菌(Peronosporaspp.)、疫霉菌(Phytophthora spp.)、腐霉菌(Pythiumspp.)、黑星病菌(Venturia spp.)、核盘菌(Sclerotinia spp.)、柄锈菌(Puccinia spp.)、丝核菌(Rhizoctonia spp.)、镰孢菌(Fusariumspp.)、尾孢菌(Cercospora spp.)、梨孢菌(Piricularia spp.)、长蠕孢菌(Helminthosporiumspp.)、交链孢菌(Altemaria spp.)、壳针孢菌(Septoria spp.)等真菌,欧氏杆菌(Erwiniaspp.)、黄单胞杆菌(Xanthomonasspp.)等细菌。对一些叶螨和瘿螨也有一定的防治效果。通常使用剂量下对植物安全,但烟草、葫芦科植物等对锌敏感易生药害。
应用 广泛用于各种作物,而以果树、蔬菜上使用最多。以茎叶喷雾为主,亦可作拌种、浸种或土壤处理。常用80%代森锌可湿性粉剂对水500~700倍液喷雾防治果树花腐病、早期落叶病、炭疽病、黑星病、叶穿孔病、霜霉病等; 蔬菜霜霉病、早疫病、晚疫病、炭疽病、细菌性黑腐病、软腐病等; 麦类锈病,赤霉病; 棉花铃期各种病害; 花生叶斑病以及花卉上的炭疽病等。代替波尔多液在桃、李、杏、柿等果树上使用,比较安全,不易产生药害。已有多种复配制剂,如Mancozan(与代森锰复配),CarbinaTZ(与福美双复配)等。
类似品种 除代森锌外,曾经开发成商品,但现已很少应用的类似药剂还有代森钠、代森锰、代森铵、甲基代森镍等。这些都是乙撑双二硫代氨基甲酸盐只是成盐的金属元素不同(见表)。

代 森 系 其 他 品 种


(续)

代森锌zineb

有机硫杀菌剂。化学名称:乙撑双二硫代氨基甲酸锌。化学结构式如下。白色淡黄色粉末,具异臭味,水中溶解度10 mg/kg,只溶于吡啶中,大多数溶剂均不溶。吸湿性强,对光、热、湿气易分解而失效。1943年美国罗门—哈斯公司研制。为广谱性保护杀菌剂。为可湿性粉剂和粉剂、用于防治多种作物的叶斑病。对植物安全。大鼠口服急性LD50>5 200 mg/kg,对黏膜有刺激作用。受热或潮湿空气中分解产物乙撑硫脲对人畜毒性大。有致甲状腺肿瘤作用。

代森锌

有机硫杀菌剂。1943年由美国研制。纯品为灰白色结晶,工业品为淡黄色粉末。室温水中溶解度10 ppm。在光、热和碱性条件下易分解。剂型为80%可湿性粉剂。每公顷有效成分一般为2250~3000 g。通常以喷雾方式防治作物叶部病害。

随便看

 

离鸟网收录3541549条中英文词条,其功能与新华字典、现代汉语词典、牛津高阶英汉词典等各类中英文词典类似,基本涵盖了全部常用中英文字词句的读音、释义及用法,是语言学习和写作的有利工具。

 

Copyright © 2004-2024 vtrois.com All Rights Reserved
更新时间:2026/4/5 15:45:28