P·C值(价)法
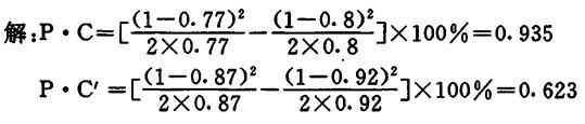
【说明】 使用白度降低或百分数表示纸浆返黄的程度虽然简单,但不能表明在返黄过程中有色物质产生的多少,这是因为浆料白度高的时候,数量相同的有色物所引起的白度降低要多。例如白度从80%降低到77%,3度(3%)降低所产生的有色物质却高于白度从92%降低到87%时5度(5%)降低所产生的有色物质。由于K/S与纸浆中有色物质的数量有直接的关系,所以采用纸浆老化前后K/S的差值说明返黄的程度比较真实,通常以P·C值表示。 【公式】   式中 K——纸浆对光的吸收系数 S——纸浆对光的散射系数  R∞1——纸浆老化前白度 R∞2——纸浆老化后白度 【例3】 分别计算纸浆白度由80%降低到77%和同由92%降低到87%时的返黄P·C价。  |