网站首页  词典首页


请输入您要查询的字词:

 

字词 伯特兰双头垄断模型
类别 中英文字词句释义及详细解析
释义

伯特兰双头垄断模型Bertrand’s Duopoly Model

1883年法国数理经济学家伯特兰提出的完全不同于古诺模型的双寡头垄断厂商行为模型。他对古诺的猜测产量变量为零的假设提出批评,认为假定竞争双方的价格都不变是不合适的,他假设双寡头均假定对方的价格不变,也就是说自己降低价格而对方价格不变。为此,他提出以价格为猜测变量且为零,即∂PB/∂PA=∂PA/∂PB=0。
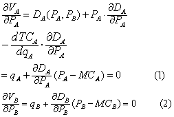
根据伯特兰模型,寡头双方将相互猜测对方的价格,并以对方的既定价格为前提,由此A、B厂商的需求曲线分别为qA=DA(PA,PB),qB=DB(PA,PB)。则它们的利润函数分别为:
VA=PA·qA—TCA(qA)
 =PA·DA(PA,PB)—TCA[DA(PA,PB)]
VB=PB·qB—TCB(qB)
 =PB·DB(PA,PB)—TCB[DB(PA,PB)]
由于它们各自认定对方的价格为常数,所以它们欲实现最大利润,必须满足:


由(1)、(2)式可得PA、PB,并进而得到qA和qB
寡头之间的这种价格猜测,会导致双方竞相削价,直至价格达到竞争水平(双方均无经济利润)时为止。因此,“明智”的寡头将停止削价,并使价格恢复到各自尽可能达到最大利润的水平,为此,寡头之间往往“共谋”,形成某种勾结形式。但这属于寡头垄断的长期定价问题,伯特兰模型则属于未出现勾结的短期定价问题。

伯特兰双头垄断模型Bertrand’ s duopoly model

解释有两个寡头厂商的市场的一种理论模型。双头垄断是一个只有两个厂商向大量消费者提供同一产品的市场。其中每个消费者的力量足够小,难以对产品的市场价格施加影响,买方市场是竞争性的。本质上双头垄断是有两个参与者的博弈,他们的利益相互关联,既不完全一致,又不完全冲突。每一个参与者都是理性的决策者,他的行为既影响自身,又影响对方。双头垄断者的每一个厂商在决定自己的行为时,必须考虑自己的行为给另一厂商带来的影响以及另一厂商可能做出的反应。在伯特兰模型中,厂商的决策变量是价格。每一厂商都假设其竞争对手的价格是给定的; 通过轻微削价,该厂商可以获取对手的全部业务。伯特兰均衡时,厂商所赚取的利润为零,且没有厂商可以通过提价或降价增加利润。伯特兰均衡与完全竞争条件下的社会最优的均衡是一致的。用一个例子说明伯特兰均衡。假设没有新厂商进入,产品同质,单一时期,相同的需求曲线P=1-0.001Q,边际成本为常数0.28。厂商选择价格并在其所设定的价格上愿意满足所有的需求。假设厂商1收取价格P1,P1>0.28。如果厂商1能将产品销售出去则将赚取一个正的利润。由于产品是同质的,只要P2稍低于P1,厂商2将拥有全部的市场需求; 如果P2大于P1,厂商1将拥有全部的市场需求; 当P1=P2时,两个厂商对消费者而言没有差别。惟一可能的均衡是P=mc=0.28,此时任何一个厂商都不能通过提价或降价来增加利润,两家厂商获得的利润均为零,这与社会最优相同。伯特兰模型暗含了微小的价格变动对销售的剧烈影响,这似乎与现实不符。而且只要有至少二个厂商,伯特兰价格就是竞争价格的结论也是违反直觉的。当然,这一结果依赖于很强的假设,稍稍放松这些假设就得不到上述结论。埃奇沃斯(Edgeworth,1897) 引申和发展了伯特兰模型,考虑了厂商生产能力的限制,假设他们的生产能力都小于在市场价格为零时的需求量,结果没有一对价格是均衡价格。

随便看

 

离鸟网收录3541549条中英文词条,其功能与新华字典、现代汉语词典、牛津高阶英汉词典等各类中英文词典类似,基本涵盖了全部常用中英文字词句的读音、释义及用法,是语言学习和写作的有利工具。

 

Copyright © 2004-2024 vtrois.com All Rights Reserved
更新时间:2026/4/7 9:20:19